
















































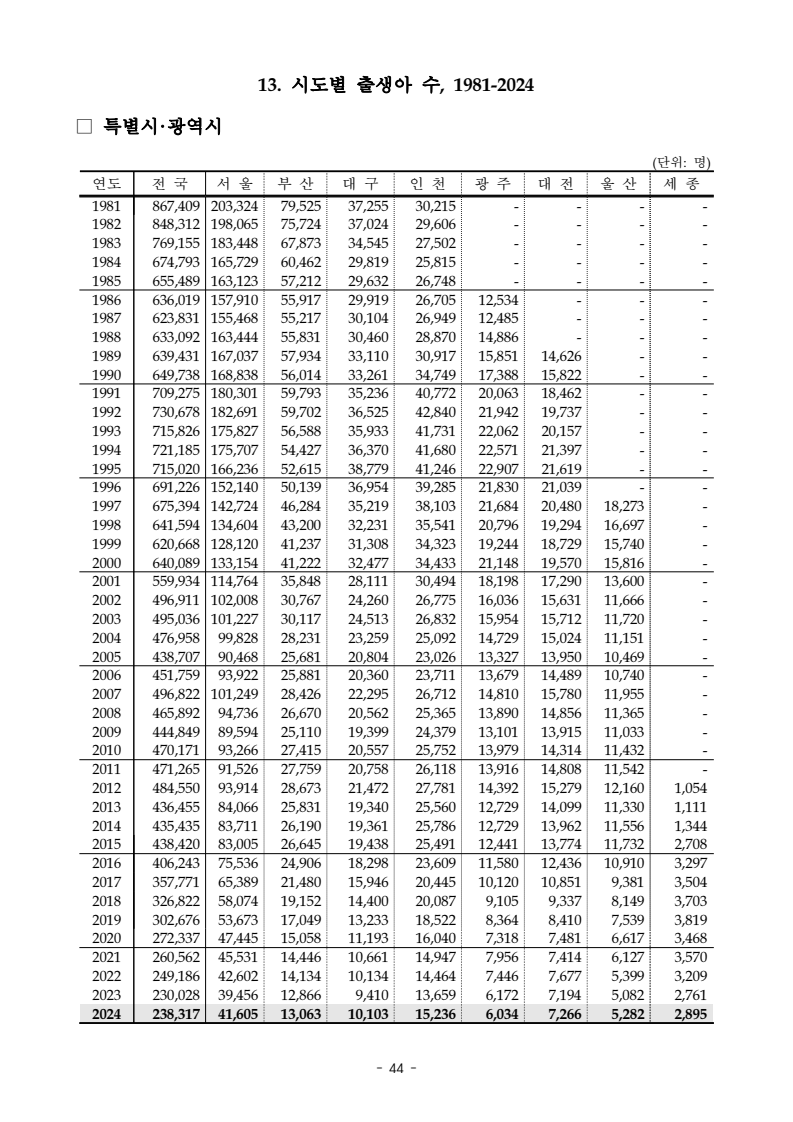
인구동향조사 부 보도자료 보도시점 2025. 9. 3.(수) 12:00 배포 2025. 9. 3.(수) 08:30 지난 30년간 우리나라의 혼인·출생 변화 . 담당 부서 사회통계국 인구동향과 책임자 과 장 박현정 (042-481-2250) 담당자 사무관 강현영 (2258) 출생통계 사무관 김경미 (2284) 혼인통계 일 러 두 기 □ 통계청에서는 「인구동향조사」 결과를 활용하여 지난 30년간 혼인·출생 변화를 살펴보았습니다. ○ 우리나라 국민이 「통계법」 및 「가족관계의 등록 등에 관한 법률」에 따라 전국의 시․구청 및 읍․면․동에 신고한 혼인․출생 자료(1995~ 2024년)를 기초로 작성한 결과입니다 - 혼인: 신고월 기준으로 집계(주민등록이 없는 해외이주자 제외) - 출생: 발생월 기준으로 집계(국내 거주만 집계) □ 이용상 주의사항 ○ 보도자료에 수록된 숫자는 반올림한 것으로 각 항목의 합계 또는 총계가 일치하지 않을 수 있습니다. - 전년대비 증감 및 증감률 계산은 건 단위를 기준으로 작성하여 반올림 한 것으로 통계표의 천 건 단위 기준으로 작성한 값과 일치하지 않을 수 있음 ○ 시도 통계표의 혼인은 남편의 주소지 기준이며, 출생은 출생자의 주소지 기준으로 집계한 것입니다. 목 차 Ⅰ. 혼인·출생 현황(지난 30년간) 요약 ··························································1 Ⅱ. 혼인 현황 ···································································································· 4 1. 혼인건수 및 조혼인율 ··············································································· 4 2. 성·연령별 혼인 ··························································································· 5 3. 평균 혼인연령 ······························································································· 9 4. 종류(초·재혼)별 혼인 ·············································································· 10 5. 외국인과의 혼인 ······················································································· 11 6. 시도별 혼인 ······························································································· 12 Ⅲ. 출생 현황 ·································································································· 13 1. 출생아수 및 합계출산율 ··········································································· 13 2. 출산순위별 출생 ······················································································· 14 3. 모의 연령별 출산율 ················································································· 15 4. 유배우 연령별 출산율 ············································································· 16 5. 부모의 평균연령 ······················································································· 17 6. 법적 혼인상태별 출생 ············································································· 19 7. 결혼생활기간별 출생 ················································································· 20 8. 다태아 출생 ································································································· 21 9. 시도별 출생 ······························································································· 22 Ⅳ. 출산력 국제비교 ······················································································ 24 Ⅴ. 통계표 ········································································································ 26 ◇ 부 록 혼인·출생 통계 개요 ·································································· 46 - 1 - 혼인·출생현황(요약) 혼인건수는 1996년을 정점으로 2022년까지 감소 추세를 보이다가 2023년 이후 2년 연속 증가 ○ 혼인건수는 ‘96년 43만 5천 건을 정점으로 감소 추세를 보이다가 ’22년에는 역대 최저인 19만 2천 건을 기록하고 ‘23년 이후 2년 연속 증가하고 있음 ○ 조혼인율(인구 1천 명당 혼인건수)은 ’24년 4.4건으로 ’95년 대비 4.3건 감소함 평균초혼연령은 1995년 이후 전반적으로 상승 추세이며, 2024년 남자는 33.9세, 여자는 31.6세로 1995년 대비 각각 5.5세, 6.2세 상승 ○ 평균초혼연령은 ‘95년 남자 28.4세, 여자 25.3세, ’24년 남자 33.9세, 여자 31.6세임 ○ ‘95년 대비 남자 5.5세, 여자 6.2세 각각 상승함 < 성별 평균초혼연령, 1995-2024 > 외국인과의 혼인은 2005년 정점을 보인 후 감소 추세를 보이다가 2022년부터 증가 추세로 전환 ○ 외국인과의 혼인은 ‘05년 정점을 보인 후 감소 추세를 보이다가 ’22년부터 증가하고 있음 - 외국인 아내는 ‘95년 1만 건에서 ’24년 1만 6천 건으로 증가, 외국인 남편은 ‘95년 3천 건에서 ’24년 5천 건으로 증가 < 외국인과의 혼인건수 추이, 1995-2024 > - 2 - 출생아 수는 1995년 71만 5천 명에서 감소 추세를 보이다가 2023년 23만 명으로 최저를 기록한 후 2024년 23만 8천 명으로 증가함 ○ 합계출산율은 1995년 1.63명에서 2024년 0.75명으로 0.89명 감소 연령별 출산율은 20대에서 감소, 30대 및 40대 초반 연령층은 증가 ○ 모(母)의 연령별 출산율은 2005년까지는 20대 후반에서 가장 높았으나, 2010년부터는 30대 초반이 가장 높음 ○ 모의 평균 출산연령은 ’95년 27.9세, ’24년 33.7세로 5.8세 상승 - 부의 평균연령은 ’95년 31.1세에서 ’24년 36.1세로 5.0세 상승 < 모의 연령별 출산율, 1995-2024 > < 부모의 평균 연령, 1995-2024 > 첫째아 비중은 증가 추세이며, 둘째아·셋째아 이상의 비중은 감소 추세임 ○ 결혼생활 2년 안에 낳는 첫째아의 비중은 ’95년 83.0%에서 ’24년 52.6%로, 30.4%p 감소 < 출산 순위별 비중, 1995, 2010, 2024 > < 첫째아 출산시 결혼생활 기간별 비중, 1995, 2010, 2024 > - 4 - 혼인 현황 1. 혼인건수 및 조(粗)혼인율 혼인건수는 1996년을 정점으로 2022년까지 감소 추세를 보이다가 2023년 이후 2년 연속 증가 ○ 혼인건수는 ‘96년 43만 5천 건을 정점으로 감소 추세를 보이다가 ’22년에는 역대 최저인 19만 2천 건을 기록하고 ‘23년 이후 2년 연속 증가하고 있음 ○ 조혼인율(인구 1천 명당 혼인건수)은 2024년 4.4건으로 ’95년 대비 4.3건 감소함 [표 1] 혼인건수 및 조혼인율, 1995-2024 (단위: 천 건, 인구 1천 명당 건, %) 1995 2000 2005 2010 2015 2020 2021 2022 2023 2024 ’95년대비 증감 증감률 혼인건수 398.5 332.1 314.3 326.1 302.8 213.5 192.5 191.7 193.7 222.4 -176.1 -44.2 조혼인율 8.7 7.0 6.5 6.5 5.9 4.2 3.8 3.7 3.8 4.4 -4.3 -49.4 [그림 1] 혼인건수 및 조혼인율 추이, 1970-2024 - 5 - 2. 성‧연령별 혼인 가. 남 자 남자 연령별 혼인율은 1995년에 비해 20대 이하 및 60세 이상은 감소하고, 30대~50대는 증가 ○ 남자의 연령별 혼인건수는 ‘06년까지는 20대 후반, 30대 초반 순으로 많았으나, ’07년부터는 30대 초반, 20대 후반 순으로, ‘23년부터는 30대 초반, 30대 후반 순으로 많음 ○ 남자 일반혼인율(15세 이상 남자 인구 1천 명당 혼인건수)은 ’95년 22.9건이었으나, 감소 추세를 보이며 ‘24년 9.9건을 기록함 ○ 연령별 혼인율(해당 연령 남자 인구 1천 명당 혼인건수)은 ’95년에 비해 20대 이하, 60세 이상에서는 감소하고, 30대~50대에서는 증가함 [표 2] 연령별 혼인건수(남자), 1995-2024 (단위: 천 건, %) 1995 2000 2005 2010 2015 2020 2021 2022 2023 2024 ’95년대비 증감 증감률 혼인건수* 398.5 332.1 314.3 326.1 302.8 213.5 192.5 191.7 193.7 222.4 -176.1 -44.2 19세 이하 2.9 2.1 1.0 0.7 0.9 0.3 0.2 0.2 0.2 0.2 -2.7 -93.2 20–24세 46.5 24.8 14.6 9.6 9.6 4.9 4.3 4.1 3.7 3.6 -42.9 -92.2 25–29세 217.8 162.4 108.5 96.8 67.1 46.7 41.0 37.6 34.6 39.8 -178.0 -81.7 30–34세 88.0 89.2 104.3 116.2 121.2 77.2 69.3 68.4 70.3 87.0 -0.9 -1.1 35–39세 22.0 25.3 35.2 49.0 49.5 39.7 35.7 36.3 37.2 43.2 21.2 96.5 40–44세 8.8 12.7 20.0 21.4 22.3 16.1 14.9 16.4 17.7 18.8 10.0 113.0 45–49세 5.1 6.7 14.2 13.6 11.9 9.7 8.7 9.1 9.3 9.1 4.1 80.0 50–54세 3.3 4.1 8.0 9.1 8.6 7.0 6.7 7.3 7.5 7.2 3.9 117.9 55–59세 2.0 2.5 4.6 4.9 5.9 5.3 5.0 5.2 5.4 5.5 3.5 171.3 60세 이상 2.1 2.3 3.9 4.8 5.7 6.4 6.8 7.2 7.7 8.0 5.9 280.8 * 연령 미상 포함 - 6 - [표 3] 연령별 혼인율(남자), 1995-2024 (단위: 해당 연령 남자 인구 1천 명당 건, %) 1995 2000 2005 2010 2015 2020 2021 2022 2023 2024 ’95년대비 증감 증감률 일반혼인율* 22.9 17.8 16.1 15.7 13.9 9.6 8.6 8.5 8.6 9.9 -13.0 -56.9 19세 이하 1.4 1.0 0.6 0.4 0.5 0.2 0.2 0.2 0.2 0.2 -1.3 -88.3 20–24세 20.0 12.3 7.5 5.9 5.2 2.9 2.6 2.6 2.5 2.6 -17.5 -87.1 25–29세 93.9 70.7 54.5 49.6 41.2 25.2 22.0 20.4 19.2 22.8 -71.1 -75.8 30–34세 38.1 39.0 46.0 58.5 62.4 47.6 42.1 40.3 40.1 48.3 10.2 26.7 35–39세 10.3 11.2 15.7 21.7 25.1 20.5 19.5 20.9 22.5 26.7 16.4 158.4 40–44세 5.8 6.1 9.0 9.6 9.9 8.2 7.5 8.1 8.7 9.4 3.6 61.6 45–49세 4.2 4.5 7.0 6.2 5.4 4.4 4.0 4.4 4.7 4.7 0.5 12.8 50–54세 3.1 3.5 5.7 4.6 4.0 3.2 3.0 3.2 3.3 3.2 0.1 4.0 55–59세 2.2 2.5 4.1 3.5 3.1 2.5 2.4 2.5 2.6 2.6 0.4 16.7 60세 이상 1.3 1.1 1.5 1.5 1.4 1.2 1.2 1.2 1.2 1.2 -0.1 -7.6 * 15세 이상 남자 인구 1천 명당 혼인건수 [그림 2] 연령별 혼인율(남자) (1995, 2010, 2024) [그림 3] 연령별 혼인율(남자) (1995년 대비 2024년 증감) - 7 - 나. 여 자 여자 연령별 혼인율은 1995년에 비해 20대 이하를 제외한 모든 연령대에서 증가 ○ 여자의 연령별 혼인건수는 ‘04년까지는 20대 후반, 20대 초반 순으로 많았으나, ’05년부터는 20대 후반, 30대 초반 순으로, ‘22년부터는 30대 초반, 20대 후반 순으로 많음 ○ 여자 일반혼인율(15세 이상 여자 인구 1천 명당 혼인건수)은 ’95년 22.5건이었으나, 감소 추세를 보이며 ‘24년 9.7건을 기록함 ○ 연령별 혼인율(해당 연령 여자 인구 1천 명당 혼인건수)은 ’95년에 비해 20대 이하를 제외한 모든 연령대에서 증가함 [표 4] 연령별 혼인건수(여자), 1995-2024 (단위: 천 건, %) 1995 2000 2005 2010 2015 2020 2021 2022 2023 2024 ’95년대비 증감 증감률 혼인건수* 398.5 332.1 314.3 326.1 302.8 213.5 192.5 191.7 193.7 222.4 -176.1 -44.2 19세 이하 13.2 8.2 5.8 5.8 3.5 1.5 0.8 1.0 1.4 1.4 -11.8 -89.3 20–24세 161.9 85.7 48.3 32.0 25.5 12.5 10.0 10.1 9.6 9.7 -152.2 -94.0 25–29세 168.1 164.2 146.5 146.2 109.3 74.2 63.6 59.0 55.7 64.3 -103.8 -61.8 30–34세 29.6 38.1 57.3 80.2 96.1 66.3 61.8 64.2 67.9 84.2 54.6 184.3 35–39세 13.5 16.8 22.1 26.5 30.0 26.5 24.3 24.7 25.5 29.3 15.8 117.2 40–44세 6.1 10.0 15.6 13.9 14.1 10.5 10.4 10.9 11.6 11.9 5.9 97.2 45–49세 3.0 4.9 10.7 10.5 9.7 7.5 7.0 6.7 6.6 6.4 3.4 111.4 50–54세 1.7 2.3 5.0 6.5 7.3 6.1 6.1 6.1 6.2 5.7 4.0 229.1 55–59세 0.8 1.1 1.9 2.6 4.4 4.3 4.1 4.1 4.2 4.2 3.4 421.3 60세 이상 0.6 0.8 1.1 1.9 2.9 4.0 4.4 4.8 5.0 5.3 4.8 845.9 * 연령 미상 포함 - 8 - [표 5] 연령별 혼인율(여자), 1995-2024 (단위: 해당 연령 여자 인구 1천 명당 건, %) 1995 2000 2005 2010 2015 2020 2021 2022 2023 2024 ’95년대비 증감 증감률 일반혼인율* 22.5 17.5 15.8 15.5 13.7 9.4 8.5 8.4 8.5 9.7 -12.8 -56.9 19세 이하 6.8 4.4 3.9 3.5 2.2 1.2 0.7 0.9 1.2 1.3 -5.5 -81.4 20–24세 73.6 44.8 26.2 21.5 15.5 8.0 6.6 7.0 7.0 7.4 -66.2 -89.9 25–29세 76.1 74.9 76.9 79.1 72.9 44.9 38.2 35.7 34.2 40.3 -35.8 -47.1 30–34세 13.7 17.4 26.3 42.0 51.8 44.0 40.8 41.3 42.7 51.9 38.2 279.8 35–39세 6.7 7.8 10.2 12.2 15.7 14.3 13.8 15.0 16.3 19.2 12.5 187.2 40–44세 4.2 5.0 7.4 6.4 6.5 5.5 5.4 5.6 5.9 6.2 2.0 47.4 45–49세 2.6 3.4 5.4 5.0 4.5 3.5 3.4 3.4 3.4 3.4 0.8 31.1 50–54세 1.6 2.0 3.6 3.3 3.5 2.9 2.8 2.7 2.8 2.6 1.0 65.5 55–59세 0.8 1.0 1.7 1.9 2.3 2.0 2.0 2.0 2.0 2.0 1.2 147.9 60세 이상 0.2 0.3 0.3 0.4 0.6 0.6 0.6 0.7 0.7 0.7 0.5 204.0 * 15세 이상 여자 인구 1천 명당 혼인건수 [그림 4] 연령별 혼인율(여자) (1995, 2010, 2024) [그림 5] 연령별 혼인율(여자) (1995년 대비 2024년 증감) - 9 - 3. 평균 혼인연령 평균초혼연령은 여자는 1995년 이후 지속적으로 상승, 남자는 2020년과 2024년에 전년대비 감소하였으나 상승 추세 ○ 평균초혼연령은 ‘95년 남자 28.4세, 여자 25.3세이고, ’24년 남자 33.9세, 여자 31.6세임 - 여자의 경우 지속적으로 상승, 남자는 ‘20년과 ’24년을 제외하고 상승함 - ‘24년 남녀 간 평균초혼연령 차이는 2.3세로, ’95년(3.0세)대비 0.7세 감소함 ○ 평균재혼연령은 ‘95년 남자 40.4세, 여자 35.6세이고, ’24년 남자 51.6세, 여자 41.7세임 - 남녀 모두 상승 추세임 - ‘24년 남녀 간 평균재혼연령 차이는 4.4세로, ’95년(4.8세)대비 0.4세 감소함 [표 6] 평균 초혼 및 재혼연령, 1995-2024 (단위: 세) 1995 2000 2005 2010 2015 2020 2021 2022 2023 2024 ’95년대비 증감 초혼 연령 남자 28.4 29.3 30.9 31.8 32.6 33.2 33.4 33.7 34.0 33.9 5.5 여자 25.3 26.5 27.7 28.9 30.0 30.8 31.1 31.3 31.5 31.6 6.2 차이 (남-여) 3.0 2.8 3.2 2.9 2.6 2.5 2.3 2.5 2.5 2.3 -0.7 재혼 연령 남자 40.4 42.1 44.1 46.1 47.6 50.0 50.7 51.0 51.4 51.6 11.2 여자 35.6 37.5 39.6 41.6 43.5 45.7 46.5 46.8 46.9 47.1 11.6 차이 (남-여) 4.8 4.6 4.5 4.5 4.2 4.3 4.2 4.2 4.5 4.4 -0.4 [그림 6] 평균초혼연령, 1995-2024 [그림 7] 평균재혼연령, 1995-2024 - 10 - 4. 종류(초‧재혼)별 혼인 초혼 비중은 남자 85.7%, 여자 84.1%로 1995년 대비 3.6%p, 5.2%p 각각 감소, 재혼 비중은 남자 14.1%, 여자 15.4%로 1995년 대비 4.1%p, 5.4%p 각각 증가 ○ 남자의 전체 혼인 중 초혼 비중은 ’95년 89.3%에서 ‘05년까지 지속적으로 감소 하다가, 이후 증감을 반복하며 ’24년에는 85.7%를 차지함 - 남자 재혼 비중은 ‘95년 10.0%에서 ’24년 14.1%로 증가함 ○ 여자의 전체 혼인 중 초혼 비중은 ’95년 89.3%에서 ‘05년까지 지속적으로 감소 하다가, 이후 증감을 반복하며 ’24년에는 84.1%를 차지함 - 여자 재혼 비중은 ‘95년 10.0%에서 ’24년 15.4%로 증가함 [표 7] 혼인종류별 건수 및 비중, 1995-2024 (단위: 천 건, %, %p) 1995 2000 2005 2010 2015 2020 2021 2022 2023 2024 ’95년대비 증감 증감률 총 혼인건수* 398.5 332.1 314.3 326.1 302.8 213.5 192.5 191.7 193.7 222.4 -176.1 -44.2 혼 인 건 수 남자 초혼 356.0 288.2 252.5 273.0 256.4 180.1 161.2 160.1 161.6 190.6 -165.4 -46.5 재혼 39.8 43.4 59.7 53.0 46.4 33.3 31.1 31.2 31.6 31.3 -8.5 -21.4 여자 초혼 355.8 283.4 245.2 268.5 250.0 175.0 156.5 156.0 157.4 187.0 -168.9 -47.5 재혼 39.8 48.1 66.6 57.5 52.7 38.1 35.6 35.0 35.2 34.3 -5.5 -13.9 구 성 비 남자 초혼 89.3 86.8 80.3 83.7 84.7 84.3 83.7 83.5 83.5 85.7 -3.6 - 재혼 10.0 13.1 19.0 16.3 15.3 15.6 16.1 16.3 16.3 14.1 4.1 - 여자 초혼 89.3 85.3 78.0 82.3 82.5 82.0 81.3 81.4 81.3 84.1 -5.2 - 재혼 10.0 14.5 21.2 17.6 17.4 17.8 18.5 18.3 18.2 15.4 5.4 - * 미상 포함 [그림 8] 혼인종류별 구성비, 1995-2024 - 11 - 5. 외국인과의 혼인 외국인과의 혼인은 2005년 정점을 보인 후 감소 추세를 보이다가 2022년부터 증가 추세로 전환 ○ 외국인과의 혼인은 ‘05년 정점을 보인 후 감소 추세를 보이다가 ’22년부터 증가하고 있음 - 외국인 여자와의 혼인은 ‘95년 1만 건에서 ’24년 1만 6천 건으로 증가 - 외국인 남자와의 혼인은 ‘95년 3천 건에서 ’24년 5천 건으로 증가 ○ 전체 혼인 중 외국인과의 혼인 비중은 ‘95년 3.4%, ’24년 9.3%임 - 한국 남자와 외국 여자의 혼인 비중은 ‘95년 2.6%, ’24년 7.0%, 한국 여자와 외국 남자의 혼인 비중은 ‘95년 0.8%, ’24년 2.3%를 차지함 [표 8] 외국인과의 혼인, 1995-2024 (단위: 천 건, %, %p) 1995 2000 2005 2010 2015 2020 2021 2022 2023 2024 ’95년대비 증감 증감률 총 혼인건수 398.5 332.1 314.3 326.1 302.8 213.5 192.5 191.7 193.7 222.4 -176.1 -44.2 외국인과의 혼인건수 13.5 11.6 42.4 34.2 21.3 15.3 13.1 16.7 19.7 20.8 7.3 53.9 한국남자+외국여자 10.4 6.9 30.7 26.3 14.7 11.1 9.0 12.0 14.7 15.6 5.3 50.7 한국여자+외국남자 3.1 4.7 11.6 8.0 6.6 4.2 4.1 4.7 5.0 5.1 2.0 64.2 외국인과의 혼인 비중 3.4 3.5 13.5 10.5 7.0 7.2 6.8 8.7 10.2 9.3 5.9 - [그림 9] 외국인과의 혼인건수 추이, 1995-2024 [그림 10] 외국인과의 혼인비중, 1995, 2024 2.6% 0.8% 96.6% 1995 7.0% 2.3% 90.7% 2024 - 12 - 6. 시도별 혼인 시도별 조혼인율은 1995년 경기(9.5건), 서울(9.2건), 인천(9.1건) 순으로 높고, 2024년은 대전(5.6건), 세종(4.8건), 경기(4.6건) 순임 ○ 시도별 혼인 구성비는 ‘95년 서울(24.7%), 경기(18.0%), 경남(8.5%) 순으로 높고, ’24년은 경기(28.2%), 서울(19.1%), 인천(5.9%) 순임 - ‘95년 대비 경남(-66.2%), 부산(-62.7%), 전북(-59.5%) 순으로 많이 감소함 ○ 조혼인율은 ‘95년은 경기(9.5건), 서울(9.2건), 인천(9.1건) 순으로 높고, ’24년은 대전(5.6건), 세종(4.8건), 경기(4.6건) 순임 [표 9] 시도별 혼인건수 및 조혼인율, 1995, 2024 (단위: 건, %, 인구 1천 명당 건) 혼인건수 조혼인율 1995 2024 ‘95년대비 1995 2024 ’95년대비 구성비 구성비 증감 증감률 증감 전 국* 398,484 100.0 222,412 100.0 -176,072 -44.2 8.7 4.4 -4.3 서 울 98,525 24.7 42,471 19.1 -56,054 -56.9 9.2 4.6 -4.6 부 산 30,800 7.7 11,499 5.2 -19,301 -62.7 7.9 3.5 -4.4 대 구 20,485 5.1 9,289 4.2 -11,196 -54.7 8.3 3.9 -4.4 인 천 21,047 5.3 13,223 5.9 -7,824 -37.2 9.1 4.4 -4.7 광 주 10,377 2.6 5,688 2.6 -4,689 -45.2 8.1 4.0 -4.1 대 전 10,748 2.7 7,986 3.6 -2,762 -25.7 8.6 5.6 -3.0 울 산 - - 4,726 2.1 - - - 4.3 - 세 종 - - 1,842 0.8 - - - 4.8 - 경 기 71,557 18.0 62,629 28.2 -8,928 -12.5 9.5 4.6 -4.9 강 원 11,644 2.9 6,143 2.8 -5,501 -47.2 7.6 4.0 -3.6 충 북 11,861 3.0 6,784 3.1 -5,077 -42.8 8.3 4.3 -4.0 충 남 13,480 3.4 9,176 4.1 -4,304 -31.9 7.3 4.3 -3.0 전 북 15,774 4.0 6,388 2.9 -9,386 -59.5 7.9 3.7 -4.2 전 남 16,789 4.2 7,049 3.2 -9,740 -58.0 7.7 3.9 -3.8 경 북 22,030 5.5 9,067 4.1 -12,963 -58.8 8.0 3.6 -4.4 경 남 33,786 8.5 11,429 5.1 -22,357 -66.2 8.6 3.5 -5.1 제 주 4,471 1.1 2,744 1.2 -1,727 -38.6 8.7 4.1 -4.6 * 국외 포함 [그림 11] 시도별 조혼인율, 1995, 2024 - 13 - 출생 현황 1. 출생아 수 및 합계출산율 ’24년 출생아 수는 ‘95년 출생아 수의 33% 수준으로 감소함 ○ 출생아 수는 1995년 71만 5천명에서 감소 추세를 보이다가 2023년 23만 명으로 최저를 기록한 후 2024년 23만 8천명으로 증가함 ○ 조(粗)출생률(인구 1천 명당 출생아 수)은 1995년 15.7명에서 2024년 4.7명으로 11.0명 감소함 ○ 합계출산율(여자 1명이 평생 낳을 것으로 예상되는 평균 출생아 수)은 1995년 1.63명에서 2024년 0.75명으로 0.89명(54.2%) 감소함 [표 10] 출생아 수, 조출생률 및 합계출산율, 1995-2024 (단위: 천 명, %, 인구 1천 명당 명, 가임 여자 1명당 명) 1995 2000 2005 2010 2015 2020 2021 2022 2023 2024 ’95년대비 증감 증감률 출생아 수 715.0 640.1 438.7 470.2 438.4 272.3 260.6 249.2 230.0 238.3 -476.7 -66.7 조출생률 15.7 13.5 9.0 9.4 8.6 5.3 5.1 4.9 4.5 4.7 -11.0 -70.2 합계출산율 1.63 1.48 1.09 1.23 1.24 0.84 0.81 0.78 0.72 0.75 -0.89 -54.2 [그림 12] 출생아 수 및 합계출산율 추이, 1970-2024 - 14 - 2. 출산순위별 출생 첫째아의 비중은 증가 추세이며, 둘째아·셋째아 이상은 감소 추세임 ○ 1995년 대비 2024년 첫째아는 19만 9천 7백 명(-57.7%) 감소함 - 둘째아는 23만 1천 9백 명(-75.4%), 셋째아는 4만 5천 1백 명(-73.5%) 감소함 [표 11] 출산 순위별 출생아 수, 1995-2024 (단위: 천 명, %) 1995 2000 2005 2010 2015 2020 2021 2022 2023 2024 ’95년대비 증감 증감률 계* 715.0 640.1 438.7 470.2 438.4 272.3 260.6 249.2 230.0 238.3 -476.7 -66.7 첫째아 345.8 301.4 225.1 235.5 228.6 149.2 145.0 145.0 138.4 146.1 -199.7 -57.7 둘째아 307.8 269.6 167.9 181.8 166.1 97.8 92.5 83.9 74.4 75.9 -231.9 -75.4 셋째아 이상 61.3 67.0 42.0 49.9 42.4 25.2 22.9 20.2 17.3 16.2 -45.1 -73.5 * 출산 순위 미상 포함 ○ 첫째아의 비중은 2024년 61.3%로 1995년보다 13.0%p 증가함 - 1995년 대비 2024년 둘째아의 비중은 11.2%p, 셋째아 이상의 비중은 1.8%p 감소함 [표 12] 출산 순위별 비중, 1995-2024 (단위: %, %p) 1995 2000 2005 2010 2015 2019 2020 2021 2022 2023 2024 ’95년대비 증감 계* 100.0 100.0 100.0 100.0 100.0 100.0 100.0 100.0 100.0 100.0 100.0 - 첫째아 48.4 47.2 51.7 50.4 52.3 53.7 54.8 55.7 58.2 60.2 61.3 13.0 둘째아 43.1 42.3 38.6 38.9 38.0 36.9 35.9 35.5 33.7 32.3 31.8 -11.2 셋째아 이상 8.6 10.5 9.7 10.7 9.7 9.5 9.2 8.8 8.1 7.5 6.8 -1.8 * 출산 순위 미상 제외 - 15 - 3. 모(母)의 연령별 출산율 20대 이하는 ’95년 대비 감소한 반면, 30대 및 40대 초반에서는 증가 ○ 모(母)의 연령별 출산율(해당 연령 여자 인구 1천 명당 출생아 수)은 2005년까지는 20대 후반이 가장 높았으나, 2006년부터는 30대 초반이 가장 높음 - 1995년부터 2005년까지는 20대 후반, 30대 초반, 20대 초반 순으로 출산율이 높음 - 2006년부터는 30대 초반, 20대 후반, 30대 후반 순임 - 2018년부터는 30대 초반, 30대 후반, 20대 후반 순으로 높음 ○ 20대 이하의 출산율은 감소, 30대 및 40대 초반 연령층은 증가함 - 1995년 대비 2024년 연령별 출산율은 20대 후반(-154.6명) 및 20대 초반 (-58.6명)에서 감소한 반면, 30대 후반(31.0명)에서는 증가함 [표 13] 모의 연령별 출산율 및 합계출산율, 1995-2024 (단위: 가임 여자 1명당 명, 해당 연령 여자인구 1천 명당 명, %) 1995 2000 2005 2010 2015 2020 2021 2022 2023 2024 ’95년대비 증감 증감률 합계출산율 1.63 1.48 1.09 1.23 1.24 0.84 0.81 0.78 0.72 0.75 -0.89 -54.2 연 령 별 출 산 율 15-19세 3.7 2.6 2.2 1.8 1.4 0.7 0.4 0.4 0.3 0.4 -3.3 -89.2 20-24세 62.4 39.2 18.0 16.5 12.5 6.2 5.0 4.1 3.8 3.8 -58.6 -93.9 25-29세 175.3 150.3 92.1 79.7 63.1 30.6 27.5 24.0 21.4 20.7 -154.6 -88.2 30-34세 68.6 84.1 82.1 112.4 116.7 78.9 76.1 73.5 66.7 70.4 1.8 2.6 35-39세 15.0 17.6 19.0 32.6 48.3 42.3 43.5 44.1 43.0 46.0 31.0 207.0 40-44세 2.4 2.7 2.5 4.1 5.6 7.1 7.6 8.0 7.9 7.7 5.4 228.5 45-49세 0.2 0.2 0.2 0.2 0.2 0.2 0.2 0.2 0.2 0.2 -0.0 -5.0 [그림 13] 모의 연령별 출산율, 1995-2024 [그림 14] 주요 연령층 출산율(‘95년 대비 ’24년 증감) - 16 - 4. 유배우 연령별 출산율 20대 후반은 ‘95년 대비 감소한 반면, 30대 및 40대 초반에서는 증가 ○ 유배우 연령별 출산율(해당 연령 유배우 여자인구 1천명 당 혼인 중의 출생아 수)은 20대 후반과 30대 초반은 2015년 정점을 보인 후 감소했다가 2022년부터 다시 증가하고 있음 [표 14] 유배우 연령별 출산율, 1995-2024 (단위: 해당 연령 유배우 여자인구 1천 명당 명, %) 1995 2000 2005 2010 2015 2020 2022 2023 2024 ’95년대비 증감 증감률 25-29세 267.1 271.7 238.4 277.8 293.4 177.4 201.1 199.6 203.5 -63.7 -23.8 30-34세 77.2 103.8 110.4 168.9 201.6 155.2 162.9 156.7 171.5 94.3 122.1 35-39세 15.6 19.5 22.3 41.2 64.1 60.4 64.6 64.0 69.1 53.5 342.2 40-44세 2.3 2.9 2.8 4.8 7.0 9.0 10.2 10.1 10.0 7.7 330.6 * 유배우 인구: 인구총조사 자료(1995-2010년은 전통적 방식의 전수자료, 2015-2020년은 전통적 방식의 표본자료, 2022-2024년은 등록센서스 방식의 전수자료) ** 20대 초반 이하는 유배우율이 매우 적은 점을 고려해 제공하지 않음 [그림 15] 주요 연령층 유배우 연령별 출산율 추이, 1995-2024 - 30대 후반과 40대 초반은 대체로 증가 추세임 - 17 - 5. 부모의 평균연령 모의 평균 출산연령 및 부의 평균연령은 지속적으로 상승 추세임 ○ 모의 평균 출산연령은 1995년 27.9세에서 2024년 33.7세로 5.8세 상승하였으며, 첫째아 평균 출산연령은 6.6세 상승함 - 둘째아 평균 출산연령은 5.7세, 셋째아는 4.0세 상승함 ○ 고령산모(35세 이상)의 출생아 수 비중은 1995년 4.8%에서 2024년 35.9%로 31.2%p 증가함 [표 15] 모의 평균 출산연령 및 연령별 출생아 수, 1995-2024 (단위: 세, 천 명, %, %p) 1995 2000 2005 2010 2015 2020 2021 2022 2023 2024 ’95년대비 증감 평 균 출 산 연 령 계* 27.9 29.0 30.2 31.3 32.2 33.1 33.4 33.5 33.6 33.7 5.8 첫째아 26.5 27.7 29.1 30.1 31.2 32.2 32.6 32.8 33.0 33.1 6.6 둘째아 28.7 29.7 31.0 32.0 33.0 33.9 34.1 34.2 34.4 34.4 5.7 셋째아 31.6 32.3 33.3 34.0 34.6 35.2 35.4 35.5 35.6 35.5 4.0 넷째아 이상 34.2 34.6 35.4 35.8 35.9 36.3 36.3 36.3 36.5 36.5 2.3 출 생 아 수 계** 715.0 640.1 438.7 470.2 438.4 272.3 260.6 249.2 230.0 238.3 -476.7 20세 미만 7.1 4.9 3.2 2.9 2.2 0.9 0.5 0.4 0.4 0.4 -6.6 20-24세 137.1 75.0 33.1 24.5 20.5 9.6 7.6 6.0 5.2 5.0 -132.1 25-29세 387.2 329.6 175.6 147.2 94.6 50.6 45.8 39.7 34.8 33.0 -354.2 30-34세 148.8 184.4 178.5 214.6 216.3 118.9 115.3 114.2 106.0 114.2 -34.6 35-39세 30.2 37.7 41.1 70.8 92.1 78.3 76.2 72.7 67.5 70.2 40.0 40-44세 3.4 5.4 5.4 8.8 12.1 13.5 14.7 15.7 15.6 15.0 11.6 45세 이상 0.3 0.4 0.5 0.5 0.3 0.3 0.4 0.4 0.4 0.4 0.1 고령 산모 (35세 이상) 비중* 4.8 6.8 10.7 17.1 23.9 33.8 35.0 35.7 36.3 35.9 31.2 * 모의 연령 미상 제외 ** 모의 연령 미상 포함 [그림 16] 모의 평균 출산연령, 1995-2024 [그림 17] 모의 연령별 출생아 비중, 1995, 2010, 2024 - 18 - ○ 2005년부터 부의 연령별 출생아 비중은 30대 초반, 30대 후반, 20대 후반 순, 2018년부터는 30대 후반, 30대 초반, 40대 초반 순으로 높게 나타남 - 출생아 부의 평균연령은 1995년 31.1세, 2024년 36.1세로 5.0세 상승함 [표 16] 부의 연령별 출생아 비중, 1995-2024 (단위: 천 명, %, %p) 1995 2000 2005 2010 2015 2020 2021 2022 2023 2024 ’95년대비 증감 출생아수 715.0 640.1 438.7 470.2 438.4 272.3 260.6 249.2 230.0 238.3 -476.7 계* 100.0 100.0 100.0 100.0 100.0 100.0 100.0 100.0 100.0 100.0 - 20세 미만 0.2 0.2 0.1 0.1 0.1 0.1 0.0 0.0 0.0 0.0 -0.1 20-24세 4.1 2.5 2.1 1.3 1.6 1.1 0.9 0.8 0.8 0.7 -3.4 25-29세 36.7 29.8 19.9 15.8 10.4 9.1 8.6 8.1 7.7 7.1 -29.6 30-34세 44.2 47.1 49.7 44.2 43.2 34.4 34.1 34.8 35.1 35.9 -8.3 35-39세 12.4 16.4 22.5 29.7 32.5 38.4 38.4 37.8 37.0 37.5 25.1 40-44세 2.0 3.3 4.7 7.4 10.0 13.1 14.0 14.7 15.4 14.7 12.7 45-49세 0.3 0.5 0.9 1.3 1.8 3.1 3.1 2.9 3.0 3.0 2.6 50세 이상 0.1 0.1 0.2 0.3 0.4 0.9 0.9 0.9 1.0 1.1 1.0 * 부의 연령 미상 제외 [표 17] 출생아 부의 평균 연령, 1995-2024 (단위: 세) 1995 2000 2005 2010 2015 2020 2021 2022 2023 2024 ’95년대비 증감 전체 31.1 32.0 33.0 34.0 34.8 35.8 35.9 36.0 36.1 36.1 5.0 첫째아 29.6 30.5 31.8 32.8 33.7 34.9 35.0 35.1 35.3 35.4 5.8 [그림 18] 부의 평균 연령, 1995-2024 [그림 19] 부의 연령별 출생아 비중, 1995, 2010, 2024 - 19 - 6. 법적 혼인상태별 출생 혼인 외의 출생아 비중은 ’95년 1.2%에서 ’24년 5.8%로 증가세 ○ 혼인 외의 출생아는 ‘95년 8천 8백명에서 ’24년 1만 3천 8백명으로 5천명 증가함 ○ 혼인 외의 출생아 비중은 1995년 1.2%에서 2024년 5.8%로 4.6%p 증가함 [표 18] 법적 혼인상태별 출생, 1995-2024 (단위: 천 명, %, %p) 1995 2000 2005 2010 2015 2020 2021 2022 2023 2024 ’95년대비 증감 출 생 아 수 계* 715.0 638.3 435.8 468.2 438.1 272.2 260.5 249.1 230.0 238.2 -476.8 혼인 중의 자 706.2 630.7 427.9 458.5 430.0 265.3 252.8 239.3 219.1 224.4 -481.8 혼인 외의 자 8.8 7.6 7.8 9.6 8.2 6.9 7.7 9.8 10.9 13.8 5.1 비 중 계* 100.0 100.0 100.0 100.0 100.0 100.0 100.0 100.0 100.0 100.0 - 혼인 중의 자 98.8 98.8 98.2 97.9 98.1 97.5 97.1 96.1 95.3 94.2 -4.6 혼인 외의 자 1.2 1.2 1.8 2.1 1.9 2.5 2.9 3.9 4.7 5.8 4.6 * 법적 혼인상태 미상 제외 [그림 20] 혼인 외의 출생 추이, 1995-2024 - 20 - 7. 결혼생활기간별 출생 출산 당시 부모의 평균 결혼생활기간* 은 1995년 대비 2024년에 0.5년 증가 * 법적인 결혼(혼인)여부와 관계없이 실제 결혼생활 시작에서 출산까지의 기간 ○ 첫째아 출산 시 평균 결혼생활기간은 ’95년 대비 ‘24년에 1.0년 증가함 ○ 결혼 후 2년 안에 낳는 출생아의 비중은 1995년 43.4%에서 2024년 35.0%로 8.4%p 감소함 [표 19] 출산 순위별 부모의 평균 결혼생활 기간, 1995-2024 (단위: 년) 1995 2000 2005 2010 2015 2020 2021 2022 2023 2024 ’95년대비 증감 계* 3.2 3.3 3.5 3.5 3.4 3.6 3.7 3.7 3.7 3.6 0.5 첫째아 1.5 1.7 1.8 1.8 1.8 2.3 2.4 2.5 2.5 2.5 1.0 둘째아 4.1 4.2 4.5 4.6 4.5 4.8 4.9 5.0 5.0 5.0 0.9 셋째아 이상 8.0 7.7 7.9 7.9 7.5 7.3 7.3 7.4 7.4 7.2 -0.8 * 결혼생활 기간 미상 제외 [표 20] 결혼생활 기간별 출생아 비중, 1995-2024 (단위: %, %p) 1995 2000 2005 2010 2015 2020 2021 2022 2023 2024 ’95년대비 증감 전 체 계* 100.0 100.0 100.0 100.0 100.0 100.0 100.0 100.0 100.0 100.0 - 2년 미만 43.4 41.2 40.3 39.2 39.4 33.9 31.8 31.5 33.9 35.0 -8.4 2-5년 미만 37.8 38.3 36.0 37.5 38.4 40.6 40.9 41.0 38.9 38.2 0.4 5년 이상 18.8 20.6 23.6 23.3 22.2 25.5 27.3 27.5 27.2 26.8 8.0 첫 째 아 계* 100.0 100.0 100.0 100.0 100.0 100.0 100.0 100.0 100.0 100.0 - 2년 미만 83.0 77.5 71.5 71.7 69.4 56.7 52.4 50.0 52.1 52.6 -30.4 2-5년 미만 14.2 19.0 23.5 23.2 25.3 34.8 37.6 38.5 36.2 35.5 21.3 5년 이상 2.9 3.5 5.0 5.1 5.3 8.5 10.0 11.5 11.7 11.9 9.0 * 결혼생활 기간 미상 제외 [그림 21] 출산 순위별 평균 결혼생활 기간, 1995-2024 [그림 22] 첫째아 출산시 결혼생활 기간별 비중, 1995, 2010, 2024 - 21 - 8. 다태아 출생 다태아 출생아 비중은 1995년 1.3%에서 2024년 5.7%로 4.3%p 증가 ○ 다태아 출생아 수는 ‘95년 9천 4백명에서 ’24년 1만 3천 5백명으로 4천명 증가함 [표 21] 다태아 출생, 1995-2024 (단위: 천 명, %, %p) 1995 2000 2005 2010 2015 2020 2021 2022 2023 2024 ’95년대비 증감 출 생 아 수 계* 715.0 638.4 435.5 468.2 438.2 272.1 260.4 249.0 230.0 238.2 -476.7 단태아 705.5 627.6 426.0 455.3 422.0 258.8 246.3 234.5 217.3 224.8 -480.8 다태아 9.4 10.8 9.5 12.8 16.2 13.3 14.0 14.5 12.6 13.5 4.0 쌍태아 9.1 10.7 9.5 12.6 15.8 12.9 13.6 14.1 12.2 13.0 3.9 삼태아 이상 0.3 0.1 0.1 0.2 0.4 0.3 0.5 0.4 0.4 0.5 0.1 비 중 계* 100.0 100.0 100.0 100.0 100.0 100.0 100.0 100.0 100.0 100.0 - 단태아 98.7 98.3 97.8 97.3 96.3 95.1 94.6 94.2 94.5 94.3 -4.3 다태아 1.3 1.7 2.2 2.7 3.7 4.9 5.4 5.8 5.5 5.7 4.3 쌍태아 1.3 1.7 2.2 2.7 3.6 4.8 5.2 5.7 5.3 5.5 4.2 삼태아 이상 0.0 0.0 0.0 0.0 0.1 0.1 0.2 0.2 0.2 0.2 0.1 * 다태아 여부 미상 제외 [그림 23] 다태아 출생아 수 및 비중 추이, 1995-2024 - 22 - 9. 시도별 출생 1995년 대비 2024년 출생아 수 감소율이 큰 지역은 경남(-79.9%), 부산(-75.2%), 전북(-75.1%) 순임 ○ 1995년 출생아 수는 서울, 경기, 경남 순으로 많으며, 2024년 출생아 수는 경기, 서울, 인천 순으로 많음 ○ 출생아 수의 ’95년 대비 ’24년 감소율은 도 지역보다 특·광역시에서 더 크게 나타남 - 경남(-79.9%), 부산(-75.2%), 전북(-75.1%) 순으로 감소함 [표 22] 시도별 출생아 수, 1995-2024 (단위: 천 명, %) 1995 2000 2005 2010 2015 2020 2021 2022 2023 2024 ’95년대비 증감 증감률 전 국 715.0 640.1 438.7 470.2 438.4 272.3 260.6 249.2 230.0 238.3 -476.7 -66.7 특별시· 광역시 343.4 297.8 197.7 206.7 195.2 114.6 110.7 105.1 96.6 101.5 -241.9 -70.4 서 울 166.2 133.2 90.5 93.3 83.0 47.4 45.5 42.6 39.5 41.6 -124.6 -75.0 부 산 52.6 41.2 25.7 27.4 26.6 15.1 14.4 14.1 12.9 13.1 -39.6 -75.2 대 구 38.8 32.5 20.8 20.6 19.4 11.2 10.7 10.1 9.4 10.1 -28.7 -73.9 인 천 41.2 34.4 23.0 25.8 25.5 16.0 14.9 14.5 13.7 15.2 -26.0 -63.1 광 주 22.9 21.1 13.3 14.0 12.4 7.3 8.0 7.4 6.2 6.0 -16.9 -73.7 대 전 21.6 19.6 14.0 14.3 13.8 7.5 7.4 7.7 7.2 7.3 -14.4 -66.4 울 산 - 15.8 10.5 11.4 11.7 6.6 6.1 5.4 5.1 5.3 - - 세 종 - - - - 2.7 3.5 3.6 3.2 2.8 2.9 - - 도 371.6 342.3 241.0 263.5 243.2 157.7 149.9 144.1 133.4 136.8 -234.8 -63.2 경 기 141.7 141.7 109.5 121.8 113.5 77.7 76.1 75.3 68.8 71.3 -70.4 -49.7 강 원 19.5 19.5 12.7 12.5 10.9 7.8 7.4 7.3 6.7 6.6 -12.9 -66.2 충 북 21.0 19.6 13.2 14.7 13.6 8.6 8.2 7.5 7.6 7.5 -13.4 -64.1 충 남 23.0 24.7 17.5 20.2 18.6 12.0 11.0 10.2 9.4 9.9 -13.1 -57.2 전 북 27.2 25.2 15.7 16.1 14.1 8.2 7.5 7.0 6.6 6.8 -20.4 -75.1 전 남 28.2 26.0 15.8 16.7 15.1 9.7 8.4 7.9 7.8 8.2 -19.9 -70.8 경 북 37.2 35.2 22.3 23.7 22.3 12.9 12.0 11.3 10.2 10.3 -26.8 -72.2 경 남 65.2 41.7 28.5 32.2 29.5 16.8 15.6 14.0 13.0 13.1 -52.1 -79.9 제 주 8.7 8.6 5.7 5.7 5.6 4.0 3.7 3.6 3.2 3.2 -5.6 -63.9 - 23 - 1995년 대비 2024년 합계출산율 감소가 큰 지역은 광주(-1.13명), 경기(-1.02명), 제주(-1.00명) 순임 ○ 1995년 합계출산율은 광주·제주(1.83명), 경기(1.81명), 순으로 높으며, 부산 (1.42명), 서울(1.51명), 강원(1.55명) 순으로 낮음 ○ 2024년 합계출산율은 전남·세종(1.03명), 경북(0.90명) 순으로 높고, 서울(0.58명), 부산(0.68명), 광주(0.70명) 순으로 낮음 [표 23] 시도별 합계출산율, 1995-2024 (단위: 가임 여자 1명당 명, %) 1995 2000 2005 2010 2015 2020 2021 2022 2023 2024 ’95년대비 증감 증감률 전 국 1.63 1.48 1.09 1.23 1.24 0.84 0.81 0.78 0.72 0.75 -0.89 -54.2 서 울 1.51 1.27 0.93 1.02 1.00 0.64 0.63 0.59 0.55 0.58 -0.93 -61.6 부 산 1.42 1.24 0.89 1.04 1.14 0.75 0.73 0.72 0.66 0.68 -0.74 -52.0 대 구 1.57 1.38 1.00 1.11 1.22 0.81 0.78 0.76 0.70 0.75 -0.82 -52.1 인 천 1.71 1.47 1.07 1.21 1.22 0.83 0.78 0.75 0.69 0.76 -0.95 -55.5 광 주 1.83 1.64 1.10 1.22 1.21 0.81 0.90 0.84 0.71 0.70 -1.13 -61.8 대 전 1.74 1.50 1.11 1.21 1.28 0.81 0.81 0.84 0.79 0.79 -0.95 -54.5 울 산 - 1.63 1.19 1.37 1.49 0.98 0.94 0.85 0.81 0.86 - - 세 종 - - - - 1.89 1.28 1.28 1.12 0.97 1.03 - - 경 기 1.81 1.63 1.18 1.31 1.27 0.88 0.85 0.84 0.77 0.79 -1.02 -56.4 강 원 1.55 1.60 1.19 1.31 1.31 1.04 0.98 0.97 0.89 0.89 -0.66 -42.6 충 북 1.68 1.58 1.19 1.40 1.41 0.98 0.95 0.87 0.89 0.88 -0.79 -47.3 충 남 1.64 1.70 1.27 1.48 1.48 1.03 0.96 0.91 0.84 0.88 -0.76 -46.2 전 북 1.69 1.59 1.18 1.37 1.35 0.91 0.85 0.82 0.78 0.81 -0.89 -52.3 전 남 1.78 1.75 1.29 1.54 1.55 1.15 1.02 0.97 0.97 1.03 -0.75 -42.3 경 북 1.62 1.58 1.17 1.38 1.46 1.00 0.97 0.93 0.86 0.90 -0.73 -44.8 경 남 1.76 1.59 1.19 1.41 1.44 0.95 0.90 0.84 0.80 0.82 -0.94 -53.4 제 주 1.83 1.78 1.31 1.46 1.48 1.02 0.95 0.92 0.83 0.83 -1.00 -54.8 - 24 - 참고1 OECD 국가 합계출산율 비교 국가 합계출산율 국가 합계출산율 국가 합계출산율 1995 2023 1995 2023 1995 2023 이스라엘 2.88 2.89* 슬로베니아 1.29 1.51 오스트리아 1.42 1.32 멕시코 3.02 1.91 칠레 2.37 1.17 스위스 1.48 1.33 프랑스 1.73 1.66 코스타리카 2.78 1.33 캐나다 1.67 1.26 콜롬비아 2.85 1.65 벨기에 1.56 1.47 핀란드 1.81 1.26 아일랜드 1.85 1.50 영국 1.71 1.53* 그리스 1.28 1.26 미국 1.98 1.62 스웨덴 1.74 1.45 룩셈부르크 1.67 1.25 뉴질랜드 1.98 1.56 헝가리 1.57 1.51 리투아니아 1.55 1.18 호주 1.82 1.50 네덜란드 1.53 1.43 폴란드 1.55 1.16 튀르키예 2.75 1.51 라트비아 1.26 1.36 일본 1.42 1.20 체코 1.28 1.45 독일 1.25 1.35 이탈리아 1.19 1.20 아이슬란드 2.08 1.59 포루투칼 1.41 1.44 스페인 1.17 1.12 슬로바키아 1.52 1.49 에스토니아 1.38 1.31 한국 1.63 0.72 덴마크 1.81 1.50 노르웨이 1.87 1.40 (’24년) (0.75) OECD 평균: 합계출산율 1.77(’95년), 1.43(’23년)* [표 24] OECD 회원국의 합계출산율, 1995, 2023 (단위: 가임 여자 1명당 명) - 출처: OECD * 38개 회원국의 2023년 자료(영국 ’21년, 이스라엘 ’22년)를 이용하여 계산함 [그림 24] OECD 회원국의 합계출산율 비교, 1995, 2023 - 25 - 참고2 OECD 국가 첫째아 출산연령 비교 국가 첫째아 출산연령 국가 첫째아 출산연령 국가 첫째아 출산연령 1995 2022 1995 2022 1995 2022 이스라엘 25.2 27.8 슬로베니아 24.9 29.0 오스트리아 25.7 29.9 멕시코 - - 칠레 - 27.9 스위스 - 31.2 프랑스 - 29.1 코스타리카 - - 캐나다 26.3 29.2 콜롬비아 - - 벨기에 - 29.5 핀란드 27.2 29.9 아일랜드 27.3 31.5 영국 26.1 29.1 그리스 26.7 31.0 미국 24.5 27.4 스웨덴 - 30.0 룩셈부르크 - 31.2 뉴질랜드 - - 헝가리 23.8 28.7 리투아니아 23.2 28.2 호주 - 29.7 네덜란드 28.4 30.3 폴란드 23.7 28.2 튀르키예 - 26.8 라트비아 - 27.6 일본 27.5 30.9 체코 23.3 28.8 독일 - 29.9 이탈리아 28.1 31.7 아이슬란드 24.9 28.8 포루투칼 25.7 30.4 스페인 28.4 31.6 슬로바키아 - 27.3 에스토니아 23.0 28.6 한국 26.5 32.8 덴마크 27.4 30.0 노르웨이 26.4 30.1 (’24년) (33.1) OECD 평균: 첫째아 출산연령 25.8세(’95년), 29.5세(’22년)* [표 25] OECD 회원국의 첫째아 출산연령, 1995, 2022 (단위: 세) - 출처: OECD * 해당자료가 있는 23개(’95년) 및 34개(’22년) 회원국의 자료를 이용하여 계산함 [그림 25] OECD 회원국의 첫째아 출산연령 비교, 1995, 2022 - 26 - 1. 혼인건수 및 조혼인율, 1970-2024 ······························································· 28 2. 성․연령별 혼인, 1990-2024 ········································································· 29 3-1. 평균초혼연령, 1990-2024 ············································································ 33 3-2. 평균재혼연령, 1990-2024 ············································································ 34 4. 종류(초·재혼)별 혼인건수, 1990-2024 ························································· 35 5. 외국인과의 혼인 비교, 1993-2024 ······························································· 36 6. 출생아 수, 조(粗)출생률 및 합계출산율, 1970-2024 ······························· 37 7. 출산 순위별 출생아 수, 1981-2024 ····························································· 38 8. 모(母)의 연령별 출산율, 1981-2024 ···························································· 39 9. 모(母)의 연령별 출생아 수, 1981-2024 ······················································ 40 10. 부(父)의 연령별 출생아 수, 1981-2024 ···················································· 41 11. 결혼생활 기간별 출생아 수 및 구성비, 1981-2024 ······························· 42 12. 가임 여자 연앙인구, 1993-2024 ································································· 43 13. 시도별 출생아 수, 1981-2024 ····································································· 44 통 계 표 - 28 - 1. 혼인건수 및 조혼인율, 1970-2024 연 도* 혼인 (건) 증감률 (%) 조혼인율 (인구 1천 명당 건) 1970 295,137 - 9.2 1971 239,457 -18.9 7.3 1972 244,780 2.2 7.3 1973 259,112 5.9 7.6 1974 259,604 0.2 7.5 1975 283,226 9.1 8.0 1976 285,910 0.9 8.0 1977 303,156 6.0 8.3 1978 343,013 13.1 9.3 1979 353,824 3.2 9.4 1980 403,031 13.9 10.6 1981 406,795 0.9 10.5 1982 387,468 -4.8 9.9 1983 412,984 6.6 10.3 1984 385,188 -6.7 9.5 1985 384,686 -0.1 9.4 1986 390,229 1.4 9.5 1987 390,276 0.0 9.4 1988 410,129 5.1 9.8 1989 410,708 0.1 9.7 1990 399,312 -2.8 9.3 1991 416,872 4.4 9.6 1992 419,774 0.7 9.6 1993 402,593 -4.1 9.0 1994 393,121 -2.4 8.7 1995 398,484 1.4 8.7 1996 434,911 9.1 9.4 1997 388,960 -10.6 8.4 1998 373,500 -4.0 8.0 1999 360,407 -3.5 7.6 2000 332,090 -7.9 7.0 2001 318,407 -4.1 6.7 2002 304,877 -4.2 6.3 2003 302,503 -0.8 6.3 2004 308,598 2.0 6.4 2005 314,304 1.8 6.5 2006 330,634 5.2 6.8 2007 343,559 3.9 7.0 2008 327,715 -4.6 6.6 2009 309,759 -5.5 6.2 2010 326,104 5.3 6.5 2011 329,087 0.9 6.6 2012 327,073 -0.6 6.5 2013 322,807 -1.3 6.4 2014 305,507 -5.4 6.0 2015 302,828 -0.9 5.9 2016 281,635 -7.0 5.5 2017 264,455 -6.1 5.2 2018 257,622 -2.6 5.0 2019 239,159 -7.2 4.7 2020 213,502 -10.7 4.2 2021 192,507 -9.8 3.8 2022 191,690 -0.4 3.7 2023 193,657 1.0 3.8 2024 222,412 14.8 4.4 * 1981년 이후 자료는 신고기준(1970 - 1980년은 발생기준임) - 29 - 2. 성․연령별 혼인, 1990-2024 □ 남자의 혼인건수 (단위: 건) 계* 19세 이하 20-24 25-29 30-34 35-39 40-44 45-49 50-54 55-59 60세 이상 1990 399,312 3,091 58,767 235,838 73,837 13,114 6,096 3,554 2,151 1,293 1,570 1991 416,872 3,092 59,941 239,371 83,861 14,799 6,415 3,604 2,278 1,405 1,657 1992 419,774 3,249 58,027 236,779 88,536 16,806 6,768 3,767 2,479 1,509 1,656 1993 402,593 3,182 54,388 222,198 88,065 17,766 6,989 3,917 2,648 1,590 1,692 1994 393,121 2,962 48,704 217,464 87,588 18,912 7,093 4,168 2,826 1,627 1,716 1995 398,484 2,886 46,545 217,766 87,951 22,004 8,809 5,076 3,288 2,029 2,088 1996 434,911 3,231 52,067 233,680 95,717 26,245 10,500 5,666 3,432 2,097 2,093 1997 388,960 2,693 41,064 209,988 87,339 24,330 10,166 5,450 3,247 2,137 1,997 1998 373,500 2,443 35,183 196,850 87,133 25,688 11,356 5,988 3,756 2,550 2,360 1999 360,407 2,385 29,284 182,065 90,406 26,589 13,090 6,731 4,235 2,833 2,639 2000 332,090 2,072 24,798 162,443 89,168 25,323 12,704 6,652 4,090 2,547 2,291 2001 318,407 1,893 21,708 146,597 90,723 25,975 14,316 7,547 4,539 2,672 2,433 2002 304,877 1,539 18,938 133,108 93,943 25,419 14,236 8,017 4,622 2,608 2,428 2003 302,503 1,320 16,936 123,076 96,652 27,422 15,662 9,809 5,434 3,202 2,978 2004 308,598 1,164 16,006 112,840 102,029 30,993 18,232 12,479 7,074 4,146 3,635 2005 314,304 998 14,634 108,496 104,261 35,223 19,953 14,229 8,047 4,580 3,883 2006 330,634 1,027 14,835 114,639 111,354 39,900 19,422 13,428 7,544 4,385 4,100 2007 343,559 946 13,528 116,810 117,088 44,703 19,663 13,899 7,917 4,611 4,394 2008 327,715 823 11,142 107,519 110,798 46,107 20,195 13,752 8,306 4,604 4,469 2009 309,759 622 9,158 97,852 106,285 45,112 19,456 13,336 8,459 4,651 4,702 2010 326,104 695 9,643 96,833 116,190 48,981 21,394 13,577 9,073 4,906 4,812 2011 329,087 813 9,438 93,613 123,390 49,120 21,513 12,267 8,905 5,098 4,930 2012 327,073 807 9,025 84,205 129,853 49,103 22,177 12,192 9,025 5,537 5,149 2013 322,807 946 9,405 78,492 132,526 48,492 21,978 11,744 8,806 5,357 5,061 2014 305,507 985 9,584 69,832 123,764 47,575 22,229 11,844 8,682 5,812 5,200 2015 302,828 929 9,595 67,107 121,185 49,507 22,290 11,946 8,645 5,919 5,705 2016 281,635 796 8,497 60,739 109,391 48,807 21,292 12,179 8,196 6,084 5,654 2017 264,455 572 7,823 57,157 98,117 48,186 19,837 12,299 8,303 6,178 5,983 2018 257,622 467 6,779 55,212 92,844 48,875 20,013 12,700 8,149 6,457 6,126 2019 239,159 382 5,890 50,303 83,232 46,262 19,218 12,361 8,297 6,470 6,743 2020 213,502 282 4,945 46,706 77,239 39,685 16,144 9,724 7,047 5,310 6,420 2021 192,507 223 4,259 41,001 69,250 35,728 14,886 8,684 6,736 4,950 6,790 2022 191,690 209 4,084 37,554 68,421 36,261 16,376 9,092 7,275 5,197 7,221 2023 193,657 206 3,733 34,615 70,275 37,193 17,734 9,327 7,452 5,424 7,698 2024 222,412 197 3,638 39,813 87,007 43,232 18,767 9,136 7,166 5,504 7,952 * 연령 미상 포함 - 30 - □ 남자의 혼인율 (단위: 해당연령 남자인구 1천 명당 건) 일반혼인율* 15-19 20-24 25-29 30-34 35-39 40-44 45-49 50-54 55-59 60세 이상 1990 25.2 1.4 26.3 106.1 34.8 8.4 4.8 3.2 2.1 1.7 1.2 1991 25.8 1.4 26.3 109.3 38.3 8.8 4.9 3.3 2.2 1.8 1.2 1992 25.6 1.5 25.0 109.3 39.7 9.4 5.1 3.4 2.4 1.8 1.2 1993 23.9 1.5 22.5 98.7 37.3 9.3 5.1 3.5 2.4 1.9 1.2 1994 23.0 1.5 20.4 94.9 37.3 9.3 5.0 3.6 2.6 1.9 1.2 1995 22.9 1.4 20.0 93.9 38.1 10.3 5.8 4.2 3.1 2.2 1.3 1996 24.6 1.6 23.3 99.2 42.4 11.8 6.4 4.5 3.2 2.3 1.3 1997 21.7 1.3 19.2 87.9 39.5 10.6 5.8 4.2 3.1 2.2 1.1 1998 20.5 1.2 17.0 82.5 39.3 11.1 6.1 4.5 3.5 2.5 1.3 1999 19.6 1.2 14.6 77.3 40.1 11.6 6.6 4.9 3.8 2.8 1.4 2000 17.8 1.0 12.3 70.7 39.0 11.2 6.1 4.5 3.5 2.5 1.1 2001 16.9 1.0 10.6 66.3 39.0 11.7 6.6 4.7 3.8 2.7 1.1 2002 16.1 0.9 9.2 62.7 39.8 11.7 6.3 4.7 3.7 2.6 1.1 2003 15.8 0.8 8.1 60.3 41.1 12.6 6.9 5.4 4.2 3.2 1.2 2004 16.0 0.7 7.8 56.8 44.0 14.0 8.1 6.5 5.3 3.9 1.4 2005 16.1 0.6 7.5 54.5 46.0 15.7 9.0 7.0 5.7 4.1 1.5 2006 16.8 0.6 8.0 56.7 51.0 17.4 8.9 6.3 4.9 3.8 1.5 2007 17.2 0.5 7.7 56.8 55.7 19.2 9.2 6.3 4.8 3.9 1.6 2008 16.2 0.5 6.6 51.8 54.5 19.7 9.4 6.2 4.7 3.7 1.5 2009 15.1 0.3 5.6 48.0 53.6 19.5 8.8 6.0 4.5 3.6 1.5 2010 15.7 0.4 5.9 49.6 58.5 21.7 9.6 6.2 4.6 3.5 1.5 2011 15.7 0.4 5.7 50.5 61.2 22.6 9.4 5.7 4.3 3.4 1.5 2012 15.4 0.4 5.3 48.2 63.4 23.4 9.6 5.7 4.2 3.4 1.5 2013 15.1 0.5 5.3 47.1 64.2 24.0 9.5 5.5 4.0 3.1 1.4 2014 14.2 0.6 5.3 42.7 61.0 24.1 9.7 5.4 4.0 3.2 1.3 2015 13.9 0.5 5.2 41.2 62.4 25.1 9.9 5.4 4.0 3.1 1.4 2016 12.8 0.5 4.5 36.8 59.3 24.3 9.8 5.4 3.9 3.0 1.3 2017 12.0 0.4 4.2 33.5 56.4 23.6 9.5 5.4 4.0 2.9 1.3 2018 11.6 0.3 3.7 31.3 55.9 23.8 10.0 5.5 3.9 3.0 1.3 2019 10.8 0.3 3.3 27.8 51.1 22.9 9.8 5.4 3.9 3.0 1.3 2020 9.6 0.2 2.9 25.2 47.6 20.5 8.2 4.4 3.2 2.5 1.2 2021 8.6 0.2 2.6 22.0 42.1 19.5 7.5 4.0 3.0 2.4 1.2 2022 8.5 0.2 2.6 20.4 40.3 20.9 8.1 4.4 3.2 2.5 1.2 2023 8.6 0.2 2.5 19.2 40.1 22.5 8.7 4.7 3.3 2.6 1.2 2024 9.9 0.2 2.6 22.8 48.3 26.7 9.4 4.7 3.2 2.6 1.2 * 일반혼인율 = (총 혼인건수 ÷ 15세 이상 남자인구) × 1,000 - 31 - □ 여자의 혼인건수 (단위: 건) 계* 19세 이하 20-24 25-29 30-34 35-39 40-44 45-49 50-54 55-59 60세 이상 1990 399,312 18,043 193,778 149,083 23,471 7,275 3,462 2,119 1,094 593 394 1991 416,872 17,947 202,258 153,355 26,115 8,566 3,720 2,153 1,262 636 416 1992 419,774 17,657 200,101 154,879 28,071 9,937 4,189 2,286 1,345 640 472 1993 402,593 16,657 183,542 154,214 27,893 10,584 4,407 2,448 1,443 747 504 1994 393,121 14,451 169,225 160,112 27,804 11,524 4,693 2,583 1,435 767 478 1995 398,484 13,178 161,850 168,094 29,617 13,467 6,052 3,011 1,737 815 562 1996 434,911 14,485 166,694 190,564 33,366 15,673 7,332 3,320 1,781 891 591 1997 388,960 11,369 136,918 180,053 30,581 15,180 7,322 3,652 1,820 909 624 1998 373,500 10,232 118,665 178,085 33,032 16,323 8,872 4,138 2,192 1,129 729 1999 360,407 9,532 100,453 175,953 36,288 18,029 10,475 4,910 2,513 1,361 833 2000 332,090 8,228 85,675 164,228 38,060 16,812 10,049 4,887 2,257 1,130 758 2001 318,407 6,880 73,536 157,536 41,422 17,584 11,501 5,526 2,494 1,174 751 2002 304,877 5,718 64,851 150,767 44,277 16,999 11,621 6,011 2,587 1,212 792 2003 302,503 5,095 58,407 147,710 48,330 17,762 12,729 7,116 3,075 1,355 894 2004 308,598 5,022 53,364 145,447 53,049 20,356 14,867 9,590 4,176 1,604 1,123 2005 314,304 5,805 48,273 146,469 57,305 22,077 15,606 10,687 5,048 1,885 1,149 2006 330,634 7,722 48,865 158,008 62,377 22,743 13,613 9,456 4,608 1,795 1,447 2007 343,559 6,068 44,386 167,601 68,192 24,989 13,855 9,892 4,981 2,011 1,584 2008 327,715 6,483 37,333 155,981 69,272 25,450 13,582 10,302 5,568 2,224 1,520 2009 309,759 5,297 30,673 144,037 70,496 24,997 13,567 10,561 5,905 2,317 1,783 2010 326,104 5,791 31,969 146,240 80,234 26,486 13,903 10,525 6,452 2,647 1,857 2011 329,087 5,140 30,519 141,801 89,898 26,345 13,529 9,845 6,844 3,092 2,074 2012 327,073 4,729 28,478 131,809 98,061 27,189 13,998 9,757 7,341 3,395 2,316 2013 322,807 4,437 27,723 124,486 102,351 27,304 13,960 9,495 7,169 3,570 2,312 2014 305,507 3,836 25,877 111,707 97,732 28,344 14,043 10,017 7,525 4,012 2,414 2015 302,828 3,471 25,499 109,287 96,085 29,953 14,112 9,747 7,343 4,424 2,907 2016 281,635 3,283 22,907 100,275 87,774 30,154 13,077 9,539 7,117 4,498 3,011 2017 264,455 2,780 20,336 93,697 79,861 30,564 12,680 9,605 7,087 4,562 3,283 2018 257,622 2,666 18,632 90,434 77,094 31,559 12,403 9,434 7,003 4,793 3,604 2019 239,159 2,674 16,182 81,675 71,431 30,446 11,978 9,048 6,991 4,806 3,928 2020 213,502 1,515 12,516 74,241 66,278 26,492 10,500 7,504 6,132 4,277 4,047 2021 192,507 807 9,985 63,584 61,801 24,282 10,412 7,021 6,126 4,054 4,435 2022 191,690 1,043 10,113 59,006 64,187 24,724 10,949 6,745 6,060 4,098 4,765 2023 193,657 1,381 9,588 55,693 67,914 25,532 11,561 6,594 6,208 4,162 5,023 2024 222,412 1,415 9,688 64,285 84,190 29,253 11,935 6,364 5,717 4,249 5,316 * 연령 미상 포함 - 32 - □ 여자의 혼인율 (단위: 해당연령 여자인구 1천 명당 건) 일반혼인율* 15-19 20-24 25-29 30-34 35-39 40-44 45-49 50-54 55-59 60세이상 1990 24.9 8.4 92.1 70.9 11.7 4.9 2.9 2.0 1.1 0.7 0.2 1991 25.6 8.6 94.2 73.9 12.6 5.4 3.0 2.0 1.2 0.7 0.2 1992 25.3 8.8 91.6 75.5 13.3 5.8 3.3 2.1 1.3 0.7 0.2 1993 23.5 8.4 80.3 72.7 12.5 5.9 3.4 2.2 1.3 0.8 0.2 1994 22.6 7.5 75.1 73.5 12.6 6.0 3.5 2.3 1.3 0.8 0.2 1995 22.5 6.8 73.6 76.1 13.7 6.7 4.2 2.6 1.6 0.8 0.2 1996 24.2 7.4 78.7 84.5 15.8 7.4 4.6 2.8 1.7 0.9 0.2 1997 21.3 5.7 66.9 78.7 14.8 7.0 4.4 2.9 1.7 0.9 0.2 1998 20.1 5.1 60.2 78.2 15.7 7.4 5.0 3.2 2.0 1.0 0.3 1999 19.2 4.9 52.5 78.4 16.8 8.3 5.6 3.7 2.3 1.2 0.3 2000 17.5 4.4 44.8 74.9 17.4 7.8 5.0 3.4 2.0 1.0 0.3 2001 16.6 3.9 37.9 74.5 18.5 8.4 5.5 3.6 2.1 1.1 0.2 2002 15.8 3.5 33.1 73.9 19.5 8.3 5.4 3.6 2.1 1.2 0.2 2003 15.5 3.3 29.6 75.3 21.4 8.5 5.9 4.1 2.4 1.3 0.3 2004 15.7 3.3 27.6 76.4 23.8 9.5 6.9 5.1 3.2 1.5 0.3 2005 15.8 3.9 26.2 76.9 26.3 10.2 7.4 5.4 3.6 1.7 0.3 2006 16.5 5.1 28.1 81.8 29.7 10.3 6.6 4.6 3.0 1.5 0.4 2007 16.9 3.9 27.2 85.6 33.6 11.1 6.8 4.6 3.0 1.7 0.4 2008 16.0 4.1 24.1 79.0 35.4 11.3 6.6 4.8 3.2 1.8 0.4 2009 14.9 3.3 20.4 74.3 37.0 11.3 6.4 4.9 3.2 1.8 0.4 2010 15.5 3.5 21.5 79.1 42.0 12.2 6.4 5.0 3.3 1.9 0.4 2011 15.5 3.1 20.4 81.2 46.4 12.6 6.1 4.8 3.3 2.0 0.5 2012 15.2 2.9 18.5 80.3 50.0 13.4 6.2 4.8 3.4 2.1 0.5 2013 14.9 2.7 17.6 79.9 51.7 14.0 6.2 4.6 3.3 2.1 0.5 2014 14.0 2.4 16.0 73.6 50.3 14.9 6.3 4.7 3.5 2.2 0.5 2015 13.7 2.2 15.5 72.9 51.8 15.7 6.5 4.5 3.5 2.3 0.6 2016 12.7 2.2 13.8 66.5 50.1 15.6 6.3 4.3 3.5 2.2 0.6 2017 11.8 1.9 12.3 60.6 48.4 15.6 6.3 4.3 3.5 2.2 0.6 2018 11.5 1.9 11.5 57.0 49.2 16.0 6.4 4.2 3.4 2.2 0.6 2019 10.6 2.0 10.1 50.4 46.9 15.7 6.3 4.1 3.3 2.3 0.6 2020 9.4 1.2 8.0 44.9 44.0 14.3 5.5 3.5 2.9 2.0 0.6 2021 8.5 0.7 6.6 38.2 40.8 13.8 5.4 3.4 2.8 2.0 0.6 2022 8.4 0.9 7.0 35.7 41.3 15.0 5.6 3.4 2.7 2.0 0.7 2023 8.5 1.2 7.0 34.2 42.7 16.3 5.9 3.4 2.8 2.0 0.7 2024 9.7 1.3 7.4 40.3 51.9 19.2 6.2 3.4 2.6 2.0 0.7 * 일반혼인율 = (총 혼인건수 ÷ 15세 이상 여자인구) × 1,000 - 33 - 3-1. 평균초혼연령, 1990-2024 (단위: 세) 연 도 남자의 평균초혼연령 여자의 평균초혼연령 초혼연령차이 증 감 증 감 (남-여) 1990 27.79 0.18 24.78 0.12 3.01 1991 27.91 0.12 24.84 0.06 3.07 1992 28.01 0.10 24.93 0.09 3.08 1993 28.09 0.08 25.01 0.08 3.08 1994 28.21 0.12 25.14 0.13 3.07 1995 28.36 0.15 25.32 0.18 3.04 1996 28.40 0.04 25.45 0.13 2.95 1997 28.59 0.19 25.71 0.26 2.88 1998 28.83 0.24 26.02 0.31 2.81 1999 29.07 0.24 26.29 0.27 2.78 2000 29.28 0.21 26.49 0.20 2.79 2001 29.55 0.27 26.78 0.29 2.77 2002 29.77 0.22 27.01 0.23 2.76 2003 30.14 0.37 27.27 0.26 2.87 2004 30.53 0.39 27.52 0.25 3.01 2005 30.87 0.34 27.72 0.20 3.15 2006 30.96 0.09 27.79 0.07 3.17 2007 31.11 0.15 28.09 0.30 3.02 2008 31.38 0.27 28.32 0.23 3.06 2009 31.61 0.23 28.71 0.39 2.90 2010 31.84 0.23 28.91 0.20 2.93 2011 31.90 0.06 29.14 0.23 2.76 2012 32.13 0.23 29.41 0.27 2.72 2013 32.21 0.08 29.59 0.18 2.62 2014 32.42 0.21 29.81 0.22 2.61 2015 32.57 0.15 29.96 0.15 2.61 2016 32.79 0.22 30.11 0.15 2.68 2017 32.94 0.15 30.24 0.13 2.70 2018 33.15 0.21 30.40 0.16 2.75 2019 33.37 0.22 30.59 0.19 2.78 2020 33.23 -0.14 30.78 0.19 2.45 2021 33.35 0.12 31.08 0.30 2.27 2022 33.72 0.37 31.26 0.18 2.46 2023 33.97 0.25 31.45 0.19 2.52 2024 33.86 -0.11 31.55 0.10 2.31 - 34 - 3-2. 평균재혼연령, 1990-2024 (단위: 세) 연 도 남자의 평균재혼연령 여자의 평균재혼연령 재혼연령차이 증 감 증 감 (남-여) 1990 38.83 -0.08 34.00 0.03 4.83 1991 39.10 0.27 34.31 0.31 4.79 1992 39.33 0.23 34.54 0.23 4.79 1993 39.51 0.18 34.74 0.20 4.77 1994 39.69 0.18 34.97 0.23 4.72 1995 40.39 0.70 35.55 0.58 4.84 1996 40.16 -0.23 35.47 -0.08 4.69 1997 40.49 0.33 35.94 0.47 4.55 1998 41.59 1.10 36.85 0.91 4.74 1999 42.13 0.54 37.46 0.61 4.67 2000 42.05 -0.08 37.45 -0.01 4.60 2001 42.06 0.01 37.55 0.10 4.51 2002 42.13 0.07 37.85 0.30 4.28 2003 42.78 0.65 38.30 0.45 4.48 2004 43.77 0.99 39.20 0.90 4.57 2005 44.10 0.33 39.56 0.36 4.54 2006 44.42 0.32 39.72 0.16 4.70 2007 44.81 0.39 40.08 0.36 4.73 2008 44.98 0.17 40.31 0.23 4.67 2009 45.68 0.70 41.09 0.78 4.59 2010 46.11 0.43 41.59 0.50 4.52 2011 46.29 0.18 41.91 0.32 4.38 2012 46.62 0.33 42.31 0.40 4.31 2013 46.75 0.13 42.52 0.21 4.23 2014 47.14 0.39 43.00 0.48 4.14 2015 47.63 0.49 43.46 0.46 4.17 2016 48.20 0.57 43.99 0.53 4.21 2017 48.70 0.50 44.43 0.44 4.27 2018 48.91 0.21 44.61 0.18 4.30 2019 49.63 0.72 45.15 0.54 4.48 2020 50.04 0.41 45.73 0.58 4.31 2021 50.65 0.61 46.50 0.77 4.15 2022 51.02 0.37 46.79 0.29 4.23 2023 51.42 0.40 46.91 0.12 4.51 2024 51.57 0.15 47.14 0.23 4.43 - 35 - 4. 종류(초·재혼)별 혼인건수, 1990-2024 (단위: 건) 연 도 혼인건수* 남자 여자 초혼 재혼 사별 후 이혼 후 초혼 재혼 사별 후 이혼 후 1990 399,312 365,964 33,348 - - 371,159 28,153 - - 1991 416,872 382,543 33,685 - - 386,590 29,639 - - 1992 419,774 383,606 35,624 - - 386,605 32,597 - - 1993 402,593 365,703 35,478 6,878 28,600 366,875 34,265 6,028 28,237 1994 393,121 354,860 36,317 6,082 30,235 355,572 35,595 5,264 30,331 1995 398,484 355,988 39,838 6,566 33,272 355,824 39,843 6,078 33,765 1996 434,911 387,576 44,400 6,580 37,820 386,586 45,171 6,589 38,582 1997 388,960 345,907 41,405 5,689 35,716 343,468 43,799 6,162 37,637 1998 373,500 330,271 43,189 5,820 37,369 326,862 46,600 6,188 40,412 1999 360,407 313,648 46,273 5,685 40,588 309,382 50,508 5,913 44,595 2000 332,090 288,178 43,370 5,054 38,316 283,357 48,132 5,466 42,666 2001 318,407 270,891 46,739 5,020 41,719 265,162 52,374 5,899 46,475 2002 304,877 257,210 47,013 4,539 42,474 251,719 52,412 5,511 46,901 2003 302,503 251,441 49,988 4,665 45,323 245,729 55,585 6,028 49,557 2004 308,598 250,555 56,530 4,765 51,765 243,445 63,452 6,319 57,133 2005 314,304 252,508 59,662 4,889 54,773 245,226 66,587 6,194 60,393 2006 330,634 273,684 55,563 4,617 50,946 269,311 59,661 5,352 54,309 2007 343,559 285,413 57,144 4,535 52,609 280,738 61,883 5,272 56,611 2008 327,715 270,236 57,217 4,309 52,908 264,469 62,758 5,191 57,567 2009 309,759 255,751 53,770 4,277 49,493 250,674 58,825 4,988 53,837 2010 326,104 272,972 53,043 3,991 49,052 268,541 57,451 4,773 52,678 2011 329,087 277,369 51,637 3,517 48,120 272,551 56,430 4,229 52,201 2012 327,073 275,897 51,114 3,303 47,811 270,495 56,488 4,171 52,317 2013 322,807 273,789 48,948 3,520 45,428 268,422 54,320 4,220 50,100 2014 305,507 257,906 47,516 3,217 44,299 251,477 53,927 4,138 49,789 2015 302,828 256,372 46,388 2,845 43,543 249,978 52,747 3,554 49,193 2016 281,635 238,054 43,286 2,541 40,745 232,446 48,899 3,206 45,693 2017 264,455 222,496 41,712 2,352 39,360 216,759 47,374 2,995 44,379 2018 257,622 216,306 41,115 2,228 38,887 210,316 46,747 2,882 43,865 2019 239,159 199,456 39,443 2,049 37,394 193,894 44,500 2,644 41,856 2020 213,502 180,059 33,261 1,762 31,499 175,033 38,064 2,384 35,680 2021 192,507 161,207 31,059 1,499 29,560 156,476 35,597 2,121 33,476 2022 191,690 160,089 31,204 1,478 29,726 155,966 35,000 1,945 33,055 2023 193,657 161,628 31,644 1,443 30,201 157,447 35,223 2,055 33,168 2024 222,412 190,631 31,329 1,409 29,920 186,959 34,306 1,861 32,445 * 혼인 종류 미상 포함 - 36 - 5. 외국인과의 혼인 비교, 1993-2024 (단위: 건, %) 연도 총계 한국(남)+한국(여) 외국인과의 혼인 계 한국(남)+외국(여) 한국(여)+외국(남) 구성비 증감 증감률 구성비 1993 402,593 396,048 98.4 6,545 - - 1.6 3,109 3,436 1994 393,121 386,505 98.3 6,616 71 1.1 1.7 3,072 3,544 1995 398,484 384,991 96.6 13,493 6,877 103.9 3.4 10,365 3,128 1996 434,911 418,964 96.3 15,947 2,454 18.2 3.7 12,647 3,300 1997 388,960 376,487 96.8 12,473 -3,474 -21.8 3.2 9,276 3,197 1998 373,500 361,908 96.9 11,592 -881 -7.1 3.1 7,744 3,848 1999 360,407 350,584 97.3 9,823 -1,769 -15.3 2.7 5,370 4,453 2000 332,090 320,485 96.5 11,605 1,782 18.1 3.5 6,945 4,660 2001 318,407 303,884 95.4 14,523 2,918 25.1 4.6 9,684 4,839 2002 304,877 289,675 95.0 15,202 679 4.7 5.0 10,698 4,504 2003 302,503 277,728 91.8 24,775 9,573 63.0 8.2 18,750 6,025 2004 308,598 273,958 88.8 34,640 9,865 39.8 11.2 25,105 9,535 2005 314,304 271,948 86.5 42,356 7,716 22.3 13.5 30,719 11,637 2006 330,634 291,875 88.3 38,759 -3,597 -8.5 11.7 29,665 9,094 2007 343,559 305,999 89.1 37,560 -1,199 -3.1 10.9 28,580 8,980 2008 327,715 291,511 89.0 36,204 -1,356 -3.6 11.0 28,163 8,041 2009 309,759 276,459 89.2 33,300 -2,904 -8.0 10.8 25,142 8,158 2010 326,104 291,869 89.5 34,235 935 2.8 10.5 26,274 7,961 2011 329,087 299,325 91.0 29,762 -4,473 -13.1 9.0 22,265 7,497 2012 327,073 298,748 91.3 28,325 -1,437 -4.8 8.7 20,637 7,688 2013 322,807 296,844 92.0 25,963 -2,362 -8.3 8.0 18,307 7,656 2014 305,507 282,191 92.4 23,316 -2,647 -10.2 7.6 16,152 7,164 2015 302,828 281,554 93.0 21,274 -2,042 -8.8 7.0 14,677 6,597 2016 281,635 261,044 92.7 20,591 -683 -3.2 7.3 14,822 5,769 2017 264,455 243,620 92.1 20,835 244 1.2 7.9 14,869 5,966 2018 257,622 234,924 91.2 22,698 1,863 8.9 8.8 16,608 6,090 2019 239,159 215,516 90.1 23,643 945 4.2 9.9 17,687 5,956 2020 213,502 198,161 92.8 15,341 -8,302 -35.1 7.2 11,100 4,241 2021 192,507 179,405 93.2 13,102 -2,239 -14.6 6.8 8,985 4,117 2022 191,690 175,024 91.3 16,666 3,564 27.2 8.7 12,007 4,659 2023 193,657 173,940 89.8 19,717 3,051 18.3 10.2 14,710 5,007 2024 222,412 201,653 90.7 20,759 1,042 5.3 9.3 15,624 5,135 - 37 - 6. 출생아 수, 조(粗)출생률 및 합계출산율, 1970-2024 (단위: 명, 인구 1천 명당 명, 가임 여자 1명당 명) 연도 출생아 수 조출생률 합계출산율 1970 1,006,645 31.2 4.53 1971 1,024,773 31.2 4.54 1972 952,780 28.4 4.12 1973 965,521 28.3 4.07 1974 922,823 26.6 3.77 1975 874,030 24.8 3.43 1976 796,331 22.2 3.00 1977 825,339 22.7 2.99 1978 750,728 20.3 2.64 1979 862,669 23.0 2.90 1980 862,835 22.6 2.82 1981 867,409 22.4 2.57 1982 848,312 21.6 2.39 1983 769,155 19.3 2.06 1984 674,793 16.7 1.74 1985 655,489 16.1 1.66 1986 636,019 15.4 1.58 1987 623,831 15.0 1.53 1988 633,092 15.1 1.55 1989 639,431 15.1 1.56 1990 649,738 15.2 1.57 1991 709,275 16.4 1.71 1992 730,678 16.7 1.76 1993 715,826 16.0 1.65 1994 721,185 16.0 1.66 1995 715,020 15.7 1.63 1996 691,226 15.0 1.57 1997 675,394 14.5 1.54 1998 641,594 13.7 1.46 1999 620,668 13.2 1.43 2000 640,089 13.5 1.48 2001 559,934 11.7 1.31 2002 496,911 10.3 1.18 2003 495,036 10.2 1.19 2004 476,958 9.8 1.16 2005 438,707 9.0 1.09 2006 451,759 9.2 1.13 2007 496,822 10.1 1.26 2008 465,892 9.4 1.19 2009 444,849 9.0 1.15 2010 470,171 9.4 1.23 2011 471,265 9.4 1.24 2012 484,550 9.6 1.30 2013 436,455 8.6 1.19 2014 435,435 8.6 1.21 2015 438,420 8.6 1.24 2016 406,243 7.9 1.17 2017 357,771 7.0 1.05 2018 326,822 6.4 0.98 2019 302,676 5.9 0.92 2020 272,337 5.3 0.84 2021 260,562 5.1 0.81 2022 249,186 4.9 0.78 2023 230,028 4.5 0.72 2024 238,317 4.7 0.75 - 38 - 7. 출산 순위별 출생아 수, 1981-2024 (단위: 명) 연도 계* 첫째아 둘째아 셋째아 넷째아 이상 1981 867,409 356,062 290,506 142,161 78,670 1982 848,312 355,723 300,817 125,305 66,464 1983 769,155 344,776 293,940 85,782 44,651 1984 674,793 334,012 254,825 57,237 28,714 1985 655,489 338,156 246,408 49,144 21,770 1986 636,019 338,142 235,799 44,315 17,749 1987 623,831 339,180 232,619 38,422 13,599 1988 633,092 343,518 241,221 36,888 11,458 1989 639,431 344,097 248,588 36,563 10,169 1990 649,738 348,703 252,774 38,508 9,729 1991 709,275 378,160 282,916 39,387 8,790 1992 730,678 382,098 294,247 45,462 8,848 1993 715,826 374,506 285,790 47,202 8,293 1994 721,185 360,838 301,156 50,975 8,154 1995 715,020 345,796 307,793 53,758 7,551 1996 691,226 334,756 293,876 55,297 7,131 1997 675,394 328,099 281,914 58,194 7,007 1998 641,594 316,035 262,829 55,860 6,604 1999 620,668 310,405 247,476 54,589 6,562 2000 640,089 301,424 269,587 60,411 6,558 2001 559,934 265,952 235,268 50,689 5,707 2002 496,911 240,410 202,831 44,357 5,036 2003 495,036 243,079 200,299 41,951 4,875 2004 476,958 241,710 185,511 40,883 4,832 2005 438,707 225,090 167,881 37,400 4,625 2006 451,759 233,161 172,181 37,906 4,728 2007 496,822 264,024 182,941 41,382 5,030 2008 465,892 242,097 176,024 39,344 4,971 2009 444,849 230,275 170,027 36,769 5,065 2010 470,171 235,473 181,763 43,782 6,118 2011 471,265 239,596 178,964 45,396 6,246 2012 484,550 248,933 183,991 44,217 6,363 2013 436,455 224,807 165,662 39,663 5,570 2014 435,435 225,393 165,331 38,226 5,486 2015 438,420 228,637 166,119 37,096 5,347 2016 406,243 212,932 152,729 34,684 4,952 2017 357,771 187,854 133,855 30,297 4,665 2018 326,822 172,833 122,885 26,349 4,422 2019 302,676 162,352 111,572 24,430 4,168 2020 272,337 149,211 97,828 21,358 3,819 2021 260,562 145,039 92,521 19,383 3,530 2022 249,186 144,951 83,933 17,040 3,175 2023 230,028 138,352 74,361 14,348 2,904 2024 238,317 146,117 75,869 13,352 2,892 * 출산 순위 미상 포함 - 39 - 8. 모(母)의 연령별 출산율, 1981-2024 (단위: 가임 여자 1명당 명, 해당 연령 여자인구 1천 명당 명) 연도 합계출산율 15-19세 20-24세 25-29세 30-34세 35-39세 40-44세 45-49세 1981 2.57 16.2 160.9 224.3 82.3 23.2 6.3 1.5 1982 2.39 14.8 157.1 211.0 71.5 19.7 5.3 1.3 1983 2.06 12.9 145.0 184.6 54.7 14.3 3.9 0.8 1984 1.74 11.6 128.3 157.6 41.3 10.2 2.7 0.6 1985 1.66 10.0 117.5 157.3 40.5 8.6 2.2 0.5 1986 1.58 8.7 103.4 158.4 39.0 8.2 1.9 0.5 1987 1.53 6.9 96.5 157.7 38.6 7.5 1.7 0.3 1988 1.55 5.7 91.5 162.2 41.4 7.7 1.5 0.3 1989 1.56 4.4 88.9 163.8 44.0 8.3 1.5 0.2 1990 1.57 4.1 82.1 167.1 49.6 9.4 1.5 0.2 1991 1.71 4.2 83.8 183.7 57.8 10.6 1.5 0.2 1992 1.76 4.6 81.9 186.6 64.1 12.4 1.7 0.2 1993 1.65 4.4 71.9 176.5 63.2 13.5 2.0 0.2 1994 1.66 4.0 65.4 177.5 67.0 14.5 2.2 0.3 1995 1.63 3.7 62.4 175.3 68.6 15.0 2.4 0.2 1996 1.57 3.4 58.5 166.3 70.3 15.4 2.5 0.2 1997 1.54 3.2 54.7 160.5 72.3 15.9 2.5 0.2 1998 1.46 3.0 48.8 152.8 71.9 15.7 2.5 0.2 1999 1.43 2.8 43.8 147.9 73.0 15.7 2.6 0.3 2000 1.48 2.6 39.2 150.3 84.1 17.6 2.7 0.2 2001 1.31 2.4 31.7 129.8 78.1 17.3 2.6 0.2 2002 1.18 2.7 26.8 111.4 75.0 16.9 2.5 0.2 2003 1.19 2.5 23.9 112.2 79.7 17.4 2.6 0.2 2004 1.16 2.4 20.8 105.0 83.7 18.6 2.6 0.2 2005 1.09 2.2 18.0 92.1 82.1 19.0 2.5 0.2 2006 1.13 2.2 17.8 89.9 90.0 21.5 2.7 0.2 2007 1.26 2.3 19.7 95.9 102.0 25.9 3.1 0.2 2008 1.19 1.7 18.2 85.6 101.5 26.5 3.2 0.2 2009 1.15 1.7 16.5 80.4 100.8 27.3 3.4 0.2 2010 1.23 1.8 16.5 79.7 112.4 32.6 4.1 0.2 2011 1.24 1.8 16.4 78.4 114.4 35.4 4.6 0.2 2012 1.30 1.8 16.0 77.4 121.9 39.0 4.9 0.2 2013 1.19 1.7 14.0 65.9 111.4 39.5 4.8 0.1 2014 1.21 1.6 13.1 63.4 113.8 43.2 5.2 0.1 2015 1.24 1.4 12.5 63.1 116.7 48.3 5.6 0.2 2016 1.17 1.3 11.5 56.4 110.1 48.7 5.9 0.2 2017 1.05 1.0 9.6 47.9 97.7 47.2 6.0 0.2 2018 0.98 0.9 8.2 41.0 91.4 46.1 6.4 0.2 2019 0.92 0.8 7.1 35.7 86.2 45.0 7.0 0.2 2020 0.84 0.7 6.2 30.6 78.9 42.3 7.1 0.2 2021 0.81 0.4 5.0 27.5 76.1 43.5 7.6 0.2 2022 0.78 0.4 4.1 24.0 73.5 44.1 8.0 0.2 2023 0.72 0.3 3.8 21.4 66.7 43.0 7.9 0.2 2024 0.75 0.4 3.8 20.7 70.4 46.0 7.7 0.2 - 40 - 9. 모(母)의 연령별 출생아 수, 1981-2024 (단위: 명) 연도 계* 19세 이하 20-24세 25-29세 30-34세 35-39세 40-44세 45세 이상 1981 867,409 34,606 335,331 360,510 102,251 25,459 6,883 1,868 1982 848,312 30,901 335,411 360,672 91,708 21,811 5,842 1,572 1983 769,155 26,711 311,641 336,079 72,585 16,292 4,402 1,067 1984 674,793 24,382 273,184 303,387 57,624 12,027 3,022 822 1985 655,489 21,361 245,440 315,397 59,165 10,668 2,409 667 1986 636,019 18,882 213,627 327,244 63,158 10,001 2,107 580 1987 623,831 15,318 197,538 332,339 66,352 9,514 1,838 507 1988 633,092 12,645 186,059 345,691 75,983 10,007 1,729 478 1989 639,431 9,750 181,976 348,421 85,486 11,233 1,717 383 1990 649,738 8,903 172,891 351,520 99,794 13,880 1,829 395 1991 709,275 8,816 179,965 381,141 119,694 16,829 1,841 359 1992 730,678 9,274 178,933 382,772 135,413 21,059 2,215 406 1993 715,826 8,718 164,358 374,424 140,507 24,292 2,569 301 1994 721,185 7,634 147,309 386,495 148,024 27,795 2,901 346 1995 715,020 7,055 137,092 387,247 148,825 30,243 3,403 340 1996 691,226 6,568 124,067 374,819 148,185 32,628 3,872 325 1997 675,394 6,297 112,067 367,229 149,517 34,798 4,270 337 1998 641,594 5,967 96,130 347,846 151,280 34,596 4,481 366 1999 620,668 5,469 83,721 332,127 157,480 34,321 4,848 406 2000 640,089 4,873 74,987 329,605 184,359 37,731 5,409 407 2001 559,934 4,120 61,522 274,485 174,976 36,150 5,430 428 2002 496,911 4,540 52,623 227,432 170,590 34,624 5,439 458 2003 495,036 3,995 47,178 220,090 179,979 36,333 5,611 496 2004 476,958 3,576 40,183 199,862 186,418 39,632 5,522 480 2005 438,707 3,232 33,135 175,576 178,499 41,147 5,389 485 2006 451,759 3,336 31,001 173,707 189,000 47,688 5,506 435 2007 496,822 3,523 32,142 187,843 207,021 58,348 6,363 434 2008 465,892 2,774 28,173 168,893 198,748 59,596 6,537 366 2009 444,849 2,815 24,911 155,906 192,112 60,694 7,303 358 2010 470,171 2,934 24,538 147,197 214,616 70,835 8,840 451 2011 471,265 2,998 24,648 137,008 221,434 74,245 10,126 509 2012 484,550 2,946 24,619 127,192 239,223 78,982 11,098 440 2013 436,455 2,833 22,051 102,801 220,346 77,183 10,714 312 2014 435,435 2,549 21,171 96,192 221,145 82,226 11,523 334 2015 438,420 2,227 20,514 94,622 216,252 92,081 12,138 349 2016 406,243 1,922 19,078 85,036 192,968 94,313 12,336 382 2017 357,771 1,526 15,768 74,026 161,045 92,645 12,202 382 2018 326,822 1,300 13,313 65,029 143,067 91,101 12,417 407 2019 302,676 1,106 11,303 57,834 131,334 87,300 13,242 416 2020 272,337 918 9,612 50,631 118,909 78,315 13,482 344 2021 260,562 500 7,599 45,781 115,290 76,238 14,670 371 2022 249,186 422 5,979 39,710 114,173 72,710 15,736 368 2023 230,028 399 5,249 34,837 106,049 67,467 15,578 385 2024 238,317 448 4,962 33,025 114,222 70,223 14,960 431 * 연령 미상 포함 - 41 - 10. 부(父)의 연령별 출생아 수, 1981-2024 (단위: 명) 연도 계* 19세 이하 20-24세 25-29세 30-34세 35-39세 40-44세 45-49세 50-54세 55-59세 60세 이상 1981 867,409 3,974 93,832 377,861 271,268 83,629 24,317 6,611 1,983 686 371 1982 848,312 3,491 92,977 387,746 256,443 75,180 21,858 5,675 1,596 541 316 1983 769,155 3,010 85,396 376,296 220,914 58,869 16,578 4,206 1,123 400 223 1984 674,793 2,807 74,280 351,724 183,357 44,944 11,430 3,061 840 279 148 1985 655,489 2,431 65,706 343,141 188,345 40,676 9,618 2,696 703 224 117 1986 636,019 2,299 54,268 334,058 194,159 37,727 8,350 2,452 676 186 108 1987 623,831 1,948 45,559 327,958 200,297 35,527 7,753 2,233 606 168 71 1988 633,092 1,719 40,298 323,166 218,712 36,644 8,052 2,138 502 166 39 1989 639,431 1,339 38,885 312,116 234,928 39,923 8,162 1,865 467 148 50 1990 649,738 1,180 36,050 296,331 255,912 47,140 8,793 1,889 493 146 68 1991 709,275 1,216 37,043 302,426 299,548 55,161 9,349 1,980 531 147 48 1992 730,678 1,386 37,349 293,888 316,657 65,942 10,606 2,218 517 175 63 1993 715,826 1,441 34,708 275,476 314,722 72,987 11,630 2,318 524 155 72 1994 721,185 1,369 30,826 269,108 320,075 82,228 12,559 2,558 570 146 41 1995 715,020 1,317 28,989 262,044 315,363 88,366 14,046 2,460 514 132 56 1996 691,226 1,326 27,344 247,580 301,530 93,690 15,008 2,401 522 119 48 1997 675,394 1,302 25,387 237,053 293,025 97,221 16,487 2,500 509 120 51 1998 641,594 1,344 22,221 219,430 280,109 96,455 16,921 2,491 586 145 33 1999 620,668 1,308 18,998 203,741 278,162 94,105 18,085 2,527 566 150 36 2000 640,089 1,144 16,212 189,992 299,843 104,585 21,224 2,909 557 142 36 2001 559,934 1,086 13,833 153,580 266,851 96,655 20,676 2,982 502 131 49 2002 496,911 890 11,924 122,969 241,965 89,872 20,099 2,896 501 115 36 2003 495,036 721 11,133 113,666 246,647 91,565 20,524 3,337 523 127 35 2004 476,958 615 10,778 100,148 238,681 96,890 20,595 3,661 586 127 44 2005 438,707 565 9,058 86,436 215,513 97,469 20,432 3,718 622 145 41 2006 451,759 622 8,641 84,640 216,688 109,257 22,217 4,268 698 145 28 2007 496,822 630 8,612 92,618 228,152 129,438 26,562 5,212 929 184 53 2008 465,892 533 7,050 83,340 209,270 127,976 27,005 5,371 927 183 63 2009 444,849 459 5,812 77,502 195,345 126,166 28,816 5,398 961 189 59 2010 470,171 603 5,877 73,309 205,354 137,984 34,232 6,093 1,129 208 64 2011 471,265 750 6,315 69,549 205,090 138,749 37,866 6,506 1,375 249 56 2012 484,550 768 6,211 63,733 215,753 142,641 41,606 6,848 1,375 237 81 2013 436,455 726 6,306 50,479 193,995 131,473 40,043 6,723 1,334 257 55 2014 435,435 701 6,360 46,247 193,602 133,148 41,732 7,105 1,331 270 60 2015 438,420 614 6,786 45,153 187,484 140,994 43,404 7,854 1,285 274 66 2016 406,243 524 6,522 40,563 164,694 138,323 41,444 8,323 1,328 280 70 2017 357,771 316 5,327 35,206 134,872 129,431 38,723 8,394 1,408 319 70 2018 326,822 254 4,350 31,212 116,784 123,549 36,679 8,671 1,489 352 99 2019 302,676 202 3,493 27,894 103,735 116,665 36,314 9,026 1,747 366 99 2020 272,337 142 2,862 24,521 92,679 103,406 35,303 8,355 1,814 396 106 2021 260,562 91 2,230 22,284 88,068 99,024 36,156 7,922 1,740 362 124 2022 249,186 89 1,968 19,986 85,859 93,095 36,240 7,215 1,699 332 107 2023 230,028 98 1,782 17,571 79,802 84,204 35,064 6,734 1,717 375 125 2024 238,317 86 1,580 16,746 84,495 88,323 34,616 7,018 1,938 436 125 * 연령 미상 포함 - 42 - 11. 결혼생활 기간별 출생아 수 및 구성비, 1981-2024 (단위: 명, %) 연도 계* 2년 이내 2-5년 이내 5년 이상 구성비** 2년 이내 2-5년 이내 5년 이상 1981 867,409 347,814 294,402 222,333 40.2 34.1 25.7 1982 848,312 334,567 320,801 190,354 39.6 37.9 22.5 1983 769,155 323,797 304,418 138,481 42.2 39.7 18.1 1984 674,793 314,396 258,421 99,595 46.8 38.4 14.8 1985 655,489 319,195 239,212 94,594 48.9 36.6 14.5 1986 636,019 317,133 226,002 90,572 50.0 35.7 14.3 1987 623,831 316,911 219,473 84,053 51.1 35.4 13.5 1988 633,092 319,021 225,936 86,035 50.6 35.8 13.6 1989 639,431 319,774 227,316 90,462 50.2 35.7 14.2 1990 649,738 323,526 226,560 97,573 50.0 35.0 15.1 1991 709,275 346,350 254,190 106,039 49.0 36.0 15.0 1992 730,678 344,055 266,051 118,049 47.3 36.5 16.2 1993 715,826 332,113 258,810 121,869 46.6 36.3 17.1 1994 721,185 314,759 273,130 130,756 43.8 38.0 18.2 1995 715,020 308,511 268,960 133,841 43.4 37.8 18.8 1996 691,226 301,933 252,907 132,598 43.9 36.8 19.3 1997 675,394 297,053 243,187 132,405 44.2 36.2 19.7 1998 641,594 281,632 231,767 125,401 44.1 36.3 19.6 1999 620,668 270,186 225,904 120,194 43.8 36.7 19.5 2000 640,089 261,216 242,847 130,686 41.2 38.3 20.6 2001 559,934 227,077 210,663 116,695 41.0 38.0 21.0 2002 496,911 198,683 185,813 105,175 40.6 37.9 21.5 2003 495,036 195,344 184,025 106,297 40.2 37.9 21.9 2004 476,958 188,110 173,132 106,651 40.2 37.0 22.8 2005 438,707 173,287 154,846 101,600 40.3 36.0 23.6 2006 451,759 181,147 157,991 105,224 40.8 35.6 23.7 2007 496,822 207,511 166,070 115,525 42.4 34.0 23.6 2008 465,892 193,698 157,434 108,361 42.2 34.3 23.6 2009 444,849 179,673 160,657 98,473 40.9 36.6 22.4 2010 470,171 181,823 173,624 107,877 39.2 37.5 23.3 2011 471,265 187,199 168,544 109,579 40.2 36.2 23.5 2012 484,550 193,613 173,197 111,469 40.5 36.2 23.3 2013 436,455 173,584 157,536 99,386 40.3 36.6 23.1 2014 435,435 171,867 162,237 95,654 40.0 37.8 22.3 2015 438,420 170,552 166,274 96,221 39.4 38.4 22.2 2016 406,243 156,638 154,815 89,652 39.1 38.6 22.4 2017 357,771 134,747 138,324 80,005 38.2 39.2 22.7 2018 326,822 113,961 130,010 77,224 35.5 40.5 24.0 2019 302,676 101,583 120,948 74,054 34.3 40.8 25.0 2020 272,337 90,425 108,239 68,038 33.9 40.6 25.5 2021 260,562 80,856 103,878 69,339 31.8 40.9 27.3 2022 249,186 75,767 98,674 66,239 31.5 41.0 27.5 2023 230,028 74,704 85,774 60,067 33.9 38.9 27.2 2024 238,317 79,137 86,464 60,578 35.0 38.2 26.8 * 계: 결혼생활 기간 미상 포함, ** 구성비: 결혼생활 기간 미상 제외 - 43 - 12. 가임 여자 연앙인구, 1993-2024 □ 연령별 가임 여자인구* (단위: 천 명) 연도 15-49세 25-39세 15-19세 20-24세 25-29세 30-34세 35-39세 40-44세 45-49세 1993 12,804 6,146 1,983 2,284 2,121 2,224 1,801 1,301 1,090 1994 12,951 6,300 1,925 2,252 2,177 2,208 1,915 1,349 1,125 1995 13,136 6,395 1,925 2,198 2,209 2,169 2,017 1,447 1,171 1996 13,327 6,474 1,950 2,119 2,255 2,107 2,113 1,577 1,207 1997 13,485 6,541 1,973 2,047 2,288 2,069 2,184 1,682 1,242 1998 13,592 6,578 1,985 1,971 2,276 2,103 2,199 1,776 1,282 1999 13,659 6,585 1,946 1,913 2,245 2,158 2,181 1,887 1,328 2000 13,716 6,532 1,853 1,914 2,193 2,193 2,146 1,990 1,426 2001 13,774 6,443 1,749 1,940 2,115 2,241 2,087 2,087 1,556 2002 13,785 6,364 1,640 1,962 2,041 2,273 2,050 2,158 1,660 2003 13,758 6,304 1,553 1,974 1,962 2,259 2,082 2,173 1,753 2004 13,729 6,266 1,508 1,935 1,904 2,226 2,136 2,156 1,864 2005 13,670 6,251 1,490 1,844 1,905 2,175 2,170 2,121 1,965 2006 13,615 6,250 1,500 1,741 1,932 2,100 2,217 2,063 2,061 2007 13,579 6,241 1,539 1,634 1,958 2,030 2,253 2,030 2,135 2008 13,532 6,178 1,580 1,549 1,974 1,958 2,246 2,069 2,157 2009 13,461 6,064 1,614 1,506 1,939 1,905 2,220 2,129 2,147 2010 13,347 5,928 1,648 1,489 1,848 1,909 2,171 2,166 2,116 2011 13,215 5,780 1,662 1,499 1,747 1,936 2,097 2,214 2,060 2012 13,096 5,632 1,649 1,539 1,642 1,962 2,028 2,249 2,027 2013 13,002 5,492 1,627 1,578 1,559 1,978 1,955 2,240 2,063 2014 12,909 5,363 1,597 1,613 1,517 1,943 1,903 2,214 2,122 2015 12,796 5,260 1,565 1,647 1,500 1,854 1,907 2,166 2,158 2016 12,678 5,197 1,523 1,661 1,509 1,753 1,935 2,092 2,206 2017 12,520 5,157 1,451 1,648 1,547 1,649 1,962 2,023 2,241 2018 12,312 5,129 1,374 1,626 1,586 1,566 1,977 1,950 2,232 2019 12,088 5,085 1,306 1,595 1,620 1,524 1,942 1,897 2,205 2020 11,857 5,012 1,225 1,563 1,652 1,507 1,853 1,901 2,156 2021 11,620 4,935 1,153 1,521 1,665 1,516 1,754 1,930 2,082 2022 11,403 4,855 1,130 1,449 1,651 1,553 1,650 1,956 2,013 2023 11,198 4,787 1,127 1,372 1,628 1,591 1,567 1,971 1,941 2024 10,991 4,745 1,117 1,304 1,596 1,624 1,525 1,937 1,888 * 주민등록연앙인구 - 44 - 13. 시도별 출생아 수, 1981-2024 □ 특별시·광역시 (단위: 명) 연도 전 국 서 울 부 산 대 구 인 천 광 주 대 전 울 산 세 종 1981 867,409 203,324 79,525 37,255 30,215 - - - - 1982 848,312 198,065 75,724 37,024 29,606 - - - - 1983 769,155 183,448 67,873 34,545 27,502 - - - - 1984 674,793 165,729 60,462 29,819 25,815 - - - - 1985 655,489 163,123 57,212 29,632 26,748 - - - - 1986 636,019 157,910 55,917 29,919 26,705 12,534 - - - 1987 623,831 155,468 55,217 30,104 26,949 12,485 - - - 1988 633,092 163,444 55,831 30,460 28,870 14,886 - - - 1989 639,431 167,037 57,934 33,110 30,917 15,851 14,626 - - 1990 649,738 168,838 56,014 33,261 34,749 17,388 15,822 - - 1991 709,275 180,301 59,793 35,236 40,772 20,063 18,462 - - 1992 730,678 182,691 59,702 36,525 42,840 21,942 19,737 - - 1993 715,826 175,827 56,588 35,933 41,731 22,062 20,157 - - 1994 721,185 175,707 54,427 36,370 41,680 22,571 21,397 - - 1995 715,020 166,236 52,615 38,779 41,246 22,907 21,619 - - 1996 691,226 152,140 50,139 36,954 39,285 21,830 21,039 - - 1997 675,394 142,724 46,284 35,219 38,103 21,684 20,480 18,273 - 1998 641,594 134,604 43,200 32,231 35,541 20,796 19,294 16,697 - 1999 620,668 128,120 41,237 31,308 34,323 19,244 18,729 15,740 - 2000 640,089 133,154 41,222 32,477 34,433 21,148 19,570 15,816 - 2001 559,934 114,764 35,848 28,111 30,494 18,198 17,290 13,600 - 2002 496,911 102,008 30,767 24,260 26,775 16,036 15,631 11,666 - 2003 495,036 101,227 30,117 24,513 26,832 15,954 15,712 11,720 - 2004 476,958 99,828 28,231 23,259 25,092 14,729 15,024 11,151 - 2005 438,707 90,468 25,681 20,804 23,026 13,327 13,950 10,469 - 2006 451,759 93,922 25,881 20,360 23,711 13,679 14,489 10,740 - 2007 496,822 101,249 28,426 22,295 26,712 14,810 15,780 11,955 - 2008 465,892 94,736 26,670 20,562 25,365 13,890 14,856 11,365 - 2009 444,849 89,594 25,110 19,399 24,379 13,101 13,915 11,033 - 2010 470,171 93,266 27,415 20,557 25,752 13,979 14,314 11,432 - 2011 471,265 91,526 27,759 20,758 26,118 13,916 14,808 11,542 - 2012 484,550 93,914 28,673 21,472 27,781 14,392 15,279 12,160 1,054 2013 436,455 84,066 25,831 19,340 25,560 12,729 14,099 11,330 1,111 2014 435,435 83,711 26,190 19,361 25,786 12,729 13,962 11,556 1,344 2015 438,420 83,005 26,645 19,438 25,491 12,441 13,774 11,732 2,708 2016 406,243 75,536 24,906 18,298 23,609 11,580 12,436 10,910 3,297 2017 357,771 65,389 21,480 15,946 20,445 10,120 10,851 9,381 3,504 2018 326,822 58,074 19,152 14,400 20,087 9,105 9,337 8,149 3,703 2019 302,676 53,673 17,049 13,233 18,522 8,364 8,410 7,539 3,819 2020 272,337 47,445 15,058 11,193 16,040 7,318 7,481 6,617 3,468 2021 260,562 45,531 14,446 10,661 14,947 7,956 7,414 6,127 3,570 2022 249,186 42,602 14,134 10,134 14,464 7,446 7,677 5,399 3,209 2023 230,028 39,456 12,866 9,410 13,659 6,172 7,194 5,082 2,761 2024 238,317 41,605 13,063 10,103 15,236 6,034 7,266 5,282 2,895 - 45 - □ 도 (단위: 명) 연도 경 기 강 원 충 북 충 남 전 북 전 남 경 북 경 남 제 주 1981 94,910 38,257 29,874 62,857 47,411 83,894 70,718 79,446 9,723 1982 96,414 37,654 29,060 60,505 46,295 82,400 66,834 79,070 9,661 1983 94,811 32,882 25,559 53,401 40,353 70,907 57,389 72,281 8,204 1984 87,539 27,210 21,929 45,491 33,820 58,826 47,620 63,223 7,310 1985 89,239 25,977 20,910 43,695 31,399 55,167 45,271 60,013 7,103 1986 94,258 24,620 19,861 41,690 28,710 38,211 42,117 56,979 6,588 1987 97,834 23,166 19,085 39,595 26,711 35,030 40,610 55,180 6,397 1988 104,667 21,897 17,978 38,154 25,586 30,584 38,671 55,755 6,309 1989 106,770 20,002 17,265 22,147 24,038 28,703 38,004 56,688 6,339 1990 115,045 19,030 17,510 21,093 23,753 26,976 36,351 57,169 6,739 1991 131,016 19,525 19,081 21,932 24,563 28,132 38,276 64,070 8,053 1992 136,116 19,817 20,411 22,560 25,890 28,373 39,492 66,058 8,524 1993 135,225 19,519 20,786 22,367 25,737 26,912 38,698 65,629 8,655 1994 138,510 19,518 20,674 22,345 26,701 27,313 38,893 66,229 8,850 1995 141,710 19,524 20,974 23,001 27,183 28,168 37,158 65,153 8,747 1996 142,235 19,432 20,962 23,397 26,798 27,651 36,627 64,118 8,619 1997 143,002 19,821 21,103 24,551 26,270 28,080 37,117 44,138 8,545 1998 137,066 19,421 20,151 24,472 25,849 26,841 34,914 42,427 8,090 1999 134,335 19,143 19,434 24,045 24,564 26,363 34,843 41,184 8,056 2000 141,704 19,482 19,628 24,733 25,173 26,046 35,190 41,680 8,633 2001 126,264 16,873 17,322 21,962 22,192 22,588 30,500 36,475 7,453 2002 116,854 15,314 15,329 19,059 19,215 19,242 26,022 32,203 6,530 2003 120,433 14,349 14,650 18,627 18,437 18,333 25,447 32,102 6,583 2004 117,812 13,776 14,331 18,640 17,257 17,256 23,553 30,922 6,097 2005 109,533 12,657 13,164 17,521 15,745 15,818 22,339 28,471 5,734 2006 115,111 12,455 13,366 18,625 15,571 15,905 22,567 29,524 5,853 2007 126,648 13,690 15,002 20,630 17,228 17,844 25,062 33,313 6,178 2008 119,397 12,373 14,064 19,749 15,878 16,363 23,538 31,493 5,593 2009 113,692 12,112 13,903 19,257 15,233 15,995 22,373 30,320 5,433 2010 121,753 12,477 14,670 20,242 16,100 16,654 23,700 32,203 5,657 2011 122,027 12,408 14,804 20,398 16,175 16,612 24,250 32,536 5,628 2012 124,746 12,426 15,139 20,448 16,238 16,990 24,635 33,211 5,992 2013 112,129 10,980 13,658 18,628 14,555 15,401 22,206 29,504 5,328 2014 112,169 10,662 13,366 18,200 14,231 14,817 22,062 29,763 5,526 2015 113,495 10,929 13,563 18,604 14,087 15,061 22,310 29,537 5,600 2016 105,643 10,058 12,742 17,302 12,698 13,980 20,616 27,138 5,494 2017 94,088 8,958 11,394 15,670 11,348 12,354 17,957 23,849 5,037 2018 88,175 8,351 10,586 14,380 10,001 11,238 16,079 21,224 4,781 2019 83,198 8,283 9,333 13,228 8,971 10,832 14,472 19,250 4,500 2020 77,737 7,835 8,607 11,950 8,165 9,738 12,873 16,823 3,989 2021 76,139 7,357 8,190 10,984 7,475 8,430 12,045 15,562 3,728 2022 75,323 7,278 7,452 10,221 7,032 7,888 11,311 14,017 3,599 2023 68,817 6,688 7,580 9,436 6,622 7,828 10,186 13,049 3,222 2024 71,285 6,592 7,540 9,855 6,780 8,225 10,333 13,067 3,156 - 46 - 부록 혼인·출생 통계 개요 □ 목적 ○ 인구규모와 구조의 변동요인인 혼인, 출생 현황을 파악하여 정책수립의 기초 자료 및 연구자료로 활용함. □ 기초 자료 ○ 우리나라 국민이 「통계법」과 「가족관계의 등록 등에 관한 법률」에 따라 전국의 시․구청 및 읍․면․동 행정복지센터에 신고한 혼인신고서와 출생 신고서의 내용을 기초로 함. □ 작성 근거 ○ 통계법 제24조의2 제4항(인구동태통계) 및 같은 법 제17조 규정에 의한 지정 통계(승인번호 101003호, 인구동향조사) □ 용어 정의 ○ 인구동태율(조혼인율, 조출생률) : 특정 1년간 총 인구동태건수를 당해 연도의 연앙(年央)인구로 나눈 수치를 1,000분율로 나타낸 것 ○ 합계출산율(Total Fertility Rate, TFR) : 한 여자가 가임 기간(15~49세) 동안 낳을 것으로 예상되는 평균 출생아 수를 나타낸 지표로서 연령별 출산율(ASFR)의 총합 ○ 연령별 혼인율(Age-specific Marriage Rate, ASMR) : 특정 1년간 특정 연령층에서 신고한 남녀별 혼인건수를 그 해당 연령층의 남자 또는 여자 연앙인구로 나눈 수치를 1,000분율로 나타낸 것 ○ 연령별 출산율(Age-specific Fertility Rate, ASFR) : 특정 1년 간의 15~49세까지의 모의 연령별 출생아 수를 해당 연도 여자 연앙인구로 나눈 수치를 1,000분율로 나타낸 것 ○ 유배우 연령별 출산율 : 특정 1년 간의 15~49세까지의 모의 연령별 출생아 수(혼인 중의 자)를 해당 연령 유배우 여자 인구로 나눈 수치를 1,000분율로 나타낸 것
'보도자료' 카테고리의 다른 글
| 투썸플레이스 ‘꿀 고구마 라떼·홍시 주스’ 출시 (0) | 2025.09.03 |
|---|---|
| 기아 ‘더 기아 EV5’ 국내 첫 발표 및 계약 개시 (2) | 2025.09.03 |
| 서울시, 정비사업 초기 자금난 해소 위해 융자금 53억 추가 투입 (0) | 2025.09.03 |
| 서울시, 공해 완화 녹지 12곳 재생…도시 허파 기능 업그레이드 (0) | 2025.09.03 |
| 국토교통부, 주택공급 대책 내용에 대해서는 확정된 바 없습니다. (0) | 2025.09.03 |
댓글